微信搜索关注"91考试网"公众号,领30元,获取公务员、事业编、教师等考试资料40G!
1、选择题 不定项选择
封闭在容器中的气体的压强( ? )
A.是由气体重力产生的
B.是由气体分子间相互作用(引力和斥力)产生的
C.是由大量分子频繁持续碰撞器壁产生的
D.当充满气体的容器自由下落时,由于失重,气体压强将减小为零
参考答案:C
本题解析:
本题难度:简单
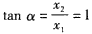
2、选择题 某河宽为600m,河中某点的水流速度v与该点到较近河岸的距离d的关系图象如图所示。船在静水中的速度为4m/s,船渡河的时间最短。下列说法正确的是

[? ]
A.船在河水中航行的轨迹是一条直线
B.船在行驶过程中,船头始终与河岸垂直
C.渡河最短时间为240s
D.船离开河岸400m时的速度大小为2
m/s
参考答案:BD
本题解析:
本题难度:一般
3、选择题 关于曲线运动,下列说法正确的是( )
A.做曲线运动的物体,速度的大小与方向都在时刻变化
B.做曲线运动的物体,速度的方向不断发生变化,速度的大小不一定发生变化
C.做曲线运动的物体,加速度一定不为零
D.做曲线运动的物体,合外力一定对其做功
参考答案:A、做曲线运动的物体速度大小不一定改变,速度方向一定变化.比如匀速圆周运动.故A错误,B正确.
C、做曲线运动的物体速度方向一定改变,一定具有加速度.故C正确.
D、做曲线运动的物体,合力可能不做功,比如匀速圆周运动合力与速度方向垂直,合力不做功.故D错误.
故选BC.
本题解析:
本题难度:简单
4、选择题 关于曲线运动,下面说法中正确的是
[? ]
A.物体运动状态改变着,它一定做曲线运动
B.物体做曲线运动,它的运动状态一定在改变
C.物体做曲线运动时,它的加速度的方向始终和速度的方向一致
D.物体做曲线运动时,它的加速度的方向始终和所受到的合外力方向一致
参考答案:BD
本题解析:
本题难度:简单
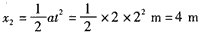
5、计算题 有一物体在水平方向做匀速直线运动,其速度大小为v0=2 m/s,同时,竖直方向从静止开始做加速度为a=2 m/s2的匀加速直线运动,求2s末的位移大小和方向。
参考答案:解:水平方向2s末的位移:x1=v0t=2×2 m=4 m
竖直方向2s末的位移:
由矢量合成法则得出位移大小

位移与水平方向夹角为α,则
所以,α=45°
本题解析:
本题难度:一般