高考省级导航

全国 A安徽 B北京 C重庆 F福建 G广东 广西 甘肃 贵州 H河南 河北 湖南 湖北 黑龙江 海南 J江苏 江西 吉林 L辽宁 N内蒙古 宁夏 Q青海 S山东 山西 陕西 四川 上海 T天津
     X新疆 西藏 Y云南 Z浙江

高考物理高频试题、高中物理题库汇总-压中真题已成为一种习惯

★力学★ 运动的描述: 质点、参考系、坐标系 时间与时刻 位移与路程 速度、速率 平均速度和瞬时速度 加速度 电磁打点计时器和电火花计时器 直线运动: 匀速直线运动 匀变速直线运动 匀变速直线运动基本公式应用 匀变速直线运动导出公式应用 自由落体运动 竖直上抛运动 探究小车速度随时间变化的规律 运动的图象 S-t图象 V-t图象 追及相遇问题 相互作用: 力的描述 重力 弹力 弹性形变和弹力 探究弹力和弹簧伸长的关系 摩擦力 滑动摩擦力 静摩擦力 力的合成与分解 平行四边形定则 力的合成 力的分解 正交分解 共点力的平衡 三力平衡 动态平衡分析 力矩平衡 牛顿运动定律: 牛顿第一定律 伽利略理想实验 惯性与质量 牛顿第二定律及应用 对单物体(质点)的应用 对质点系的应用 连接体问题 牛顿定律与图象 超重失重 探究加速度与力、质量的关系 牛顿第三定律 牛顿运动定律与电磁学综合 曲线运动: 曲线运动的特点 运动的合成与分解 位移的合成与分解 速度的合成与分解 小船渡河问题分析 最短时间过河 最短位移过河 拋体运动的规律 平抛运动的概念与轨迹 平抛运动的运动规律 研究平抛运动 斜抛运动 圆周运动 描述圆周运动的物理量 匀速圆周运动 向心力与向心加速度 圆周运动实例分析 离心运动和向心运动 万有引力与航天: 开普勒定律 万有引力定律及其应用 天体的匀速圆周运动的模型 人造卫星与飞船 近地卫星和同步卫星 宇宙速度 功和机械能: 恒力做功 变力做功 功率 功率的概念 机车启动 动能与重力势能 动能 探究功与速度变化的关系 弹性势能 动能定理及应用 动能定理的理解 动能定理的综合应用 摩擦力做功 皮带模型 机械能守恒定律 机械能 机械能守恒及其条件 机械能综合应用 能量守恒定律 功能关系 动量: 动量和冲量 动量 冲量 动量定理 动量守恒定律 碰撞 弹性碰撞 非弹性碰撞 反冲 反冲现象 爆炸 机械振动、机械波: 简谐运动 简谐运动的图象 单摆 用单摆测重力加速度 阻尼振动 受迫振动和共振 机械波的形成和传播 机械波的图象 波的干涉和衍射 多普勒效应 波长、波速和频率的关系 力学综合: 子弹打木块模型 弹簧综合 应用数学知识综合 ★电磁学★ 静电现象: 电荷 库仑定律 静电场 电场强度 电场强度的叠加 电势能和电势 等势面 电势差 电势差与电场强度的关系 静电平衡 静电场中的导体 电容器 电容 平行板电容器的电容 电容器的动态分析 电荷在电场中的加速 电荷在电场中的偏转 电荷在交变电场中的运动 示波管的原理与使用 恒定电流: 电源和电流 电流和电荷量 电阻和欧姆定律 电阻、电阻率 影响导体电阻的因素、电阻定律 导体的伏安特性曲线 电阻定律 电功率和电功 焦耳定律 闭合电路的欧姆定律 电源电动势和内阻 全电路的功和能 含容电路 半导体 超导 串联和并联 电表 电流表的构造及使用 欧姆表 练习使用多用电表 磁场: 磁现象和磁场 磁场、地磁场 磁感应强度 安培分子电流假说 通电导线在磁场中受到的力 安培力及其方向 左手定则 安培力的大小 洛伦兹力 粒子在有界磁场中运动 粒子在复合场中运动 磁场和重力场的复合 磁场、电场和重力场复合 电磁场的应用 质谱仪 回旋加速器 电磁流量计 磁流体发电机 电磁感应: 电磁感应现象 楞次定律 法拉第电磁感应定律及应用 磁通量 互感与自感 电磁感应与力学 电磁感应与电路 电磁感应与图象 电磁感应中切割类问题 电磁感应中磁变类问题 交变电流: 交变电流的产生及规律 描述交变电流的物理量 周期和频率 交流电的最大值与有效值 交流电图象 变压器原理 电能的输送 电感和电容对交流电的影响 示波器的使用 门电路 传感器: 与门、或门、非门 门电路设计与应用 传感器 电磁波: 电磁场与电磁波 电磁波的发射和接收 电磁波谱 电磁场理论 复合场: ★热学★ 分子动理论: 物质由大量分子组成 用油膜法估测分子直径的大小 分子大小与阿伏加德罗常数 分子热运动 扩散 布朗运动 分子间的作用力 分子动能、分子势能、内能 温度、温度计和温标 热力学定律: 热力学第一定律 热力学第二定律 热力学第三定律 热机: 热机原理与热机效率 内燃机原理 电冰箱与空调器 固体: 晶体和非晶体 晶体的微观结构 液体: 液体的表面张力 浸润和不浸润、毛细现象 气体: 气体的状态方程 气体实验定律 饱和汽与饱和气压 空气湿度、湿度计 物态变化中的能量交换: ★光学★ 光的反射和折射: 光的反射定律 光的折射定律 折射率 测定玻璃的折射率 全反射、临界角 光的干涉和衍射: 杨氏干涉实验 用双缝干涉测量光的波长 光的衍射 衍射光栅 光的偏振和色散: 偏振现象 偏振现象的应用 光谱 光的色散、光的颜色 薄膜干涉、衍射、折射中的色散 激光: 激光及其特点 光的粒子性: 光子的动量 光电效应 康普顿效应 物质波 光的波粒二象性 ★原子物理与相对论★ 原子结构: 原子的核式结构 氢原子光谱 玻尔原子理论 原子核: 原子核的组成 原子核的衰变、半衰期 核反应方程 质能方程 放射性的应用与防护 核裂变与核聚变 探测射线的方法 夸克: 宇宙和恒星的演化 相对论: 经典时空观与相对论时空观 狭义相对论的两个基本假设 同时的相对性 时间间隔的相对性 ★物理实验★ 力学实验 热学实验 电磁学实验 光学实验 其他实验 ★物理学史和研究方法★ 物理学史: 研究方法: 整体法隔离法 控制变量法 假设法 等效法 图象法 极限法 微元法 ★单位制及量纲★ ★当代社会热点问题★ ★其他★ 能源和可持续发展:

高考物理试卷《动能定理及应用》试题巩固(2017年最新版)(八)
2017-08-07 15:55:44 来源:91考试网 作者:www.91exam.org 【
微信搜索关注"91考试网"公众号,领30元,获取公务员、事业编、教师等考试资料40G!

1、选择题  如图所示,沿水平方向放置的平行金属板a和b,分别与电源的正负极相连,a、b板的中央沿竖直方向各有一个小孔,带正电的液滴从小孔的正上方P点由静止自由落下,先后穿过两个小孔后速度为v1,现将a板或b板向上或向下平移一小段距离,相同的液滴仍从P点自由落下,先后穿过两个小孔后速度为v2,下列说法正确的是(  )
A.若向上移动b板,则v2>v1
B.若向下移动a板,则v2>v1
C.无论向上或向下移动b板,肯定v2<v1
D.无论向上或向下移动a板,肯定v2<v1

91考试网


参考答案:A、由于两极板接在电源两端,故向上移动b板时,两板间的电压不变,故电场力做功不变;高度也不变,故重力做功不变,故总功不变,由动能定理可得,则v2=v1;故A错误;
B、若向下移动极板,电场力做功不变,但高度差变大,重力做功增大,则可知v2>v1,故B正确;
C、若A的分析可知,若只移动b板,前后两次的速度不变,故C错误;
D、由B的分析可知,若向下移动a板,则v2>v1;故D错误;
故选B.


本题解析:


本题难度:简单



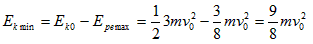
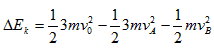
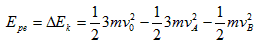
2、计算题  如图所示,在光滑绝缘水平面上有两个带电小球A、B,质量分别为3m和m,小球带正电q,小球带负电-2q,开始时两小球相距s0,小球有一个水平向右的初速度v0,小球的初速度为零,若取初始状态下两小球构成的系统的电势能为零,
(1)试证明:当两小球的速度相同时系统的电势能最大,并求出该最大值;
(2)在两小球的间距仍不小于s0的运动过程中,求出系统的电势能与系统的动能的比值的取值范围。


参考答案:解:(1)由于两小球构成的系统合外力为零,设某状态下两小球的速度分别为vA和vB,由动量守恒定律得
所以,系统的动能减小量为
由于系统运动过程中只有电场力做功,所以系统的动能与电势能之和守恒,考虑到系统初状态下电势能为零,故该状态下的电势能可表为
联立①、③两式,得
由④式得:当⑤时,系统的电势能取得最大值,而将⑤式代入①式,得
即当两小球速度相同时系统的电势能最大,最大值为
(2)由于系统的电势能与动能之和守恒,且初始状态下系统的电势能为零,所以在系统电势能取得最大值时,系统的动能取得最小值,为
由于
所以在两球间距仍不小于的运动过程中,系统的电势能总小于系统的动能。在这过程中两种能量的比值的取值范围为


本题解析:


本题难度:困难



3、填空题  为了节约能源,有的地下铁道的车站站台建得比较高,车辆进站时要上坡,出站时要下坡,如图所示。设某车站的站台高度h=2m,进站斜坡的长度为50m,车辆进站前到达坡底时的速度大小为10m/s,此时关闭车辆的牵引力,车辆“冲”上站台。假设车辆在斜坡和水平轨道上受到铁道的摩擦力均为其重力的0.05倍,取g=10m/s2。则车辆刚冲上站台时速度v1= __________m/s,车辆在站台上还能前进的距离L=____________m。


参考答案:3.16;10


本题解析:略


本题难度:简单



4、选择题  物体从高h的斜面顶端A由静止滑下,到斜面底端后又沿水平面运动到C点而停止.要使这个物体从C点沿原路返回到A,则在C点处物体应具有的速度大小至少是
A.
B.
C.
D.


参考答案:B


本题解析:应用动能定理可知,沿原路返回时,应用动能定理,故选B
点评:本题难度较小,注意阻力做功与路径有关,两个过程中克服阻力做功是一样的


本题难度:一般



5、简答题  如图所示,水平面上放有用绝缘材料制成的L形滑板(平面部分足够长且不计厚度),质量为4m,距滑板的A壁为L1距离的B处放有一质量为m、电量为+q的小物体,忽略一切摩擦的影响.整个装置置于水平向右的场强为E的匀强电场中,初始时刻,滑板与物体都静止.(在碰撞过程中无电荷转移)试问:
(1)释放小物体,第一次与滑板A壁碰前物体的速度v1多大?
(2)若物体与A壁碰后速度大小为碰前速率的

3
5
,则物体在第二次跟A壁碰撞之前,滑板的速度v2和物体的速度v3分别为多大?91考试网


参考答案:(1)释放小物体,物体在电场力作用下水平向右运动,此时,滑板静止不动,对于小物体,
由动能定理得:
EqL1=12mv21
解得:v1=


本题解析:


本题难度:一般



】【打印繁体】 【关闭】 【返回顶部
下一篇高中物理知识点复习《匀变速直线..

网站客服QQ: 960335752 - 14613519 - 791315772