微信搜索关注"91考试网"公众号,领30元,获取公务员、事业编、教师等考试资料40G!
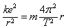
1、计算题 已知电子的电荷量为e、质量为m,氢原子的电子在原子核的静电力吸引下做半径为r的匀速圆周运动,则电子运动形成的等效电流大小为多少?
参考答案:解:截取电子运动轨道的任一截面,在电子运动一周的时间T内,通过这个横截面的电荷量q=e,则有:
? ①
再由库仑力提供向心力,有:
得
?②
由①②解得:
本题解析:
本题难度:一般
2、计算题 如下图所示的电路中,电源电动势E=6.00V,其内阻可忽略不计。电阻的阻值分别为R1=2.4kΩ、R2=4.8kΩ,电容器的电容C=4.7μF。闭合开关S,待电流稳定后,用电压表测R1两端电压,其稳定值为1.50V。
小题1:该电压表的内阻为多大?
小题2:由于电压表的接入,电容器的带电量变化了多少?
参考答案:
小题1:4.8kΩ
小题2:2.35×10-6C
本题解析:(1)设电压表的内阻为RV,测得R1两端电压为U1,R1与RV并联后的总电阻为R,
则有
?① (1分)
由串联电路的规律得:
?② (1分)
联立①②得
?(1分)
代入数据得RV="4.8kΩ" (1分) (1分)
(2)电压表接入前,电容器上的电压UC等于电阻R2上的电压,R1两端的电压为UR,
则
?(1分)
又E=Uc+UR1 (1分)
接入电压表后,电容器上的电压为Uc"=E-U1 (1分)
由于电压表的接入,电容器带电量增加了ΔQ=C(Uc"-Uc) (1分)
联立以上各式得,
?(1分)
代入数据可得ΔQ=2.35×10-6C (1分)
本题难度:一般
3、计算题 如图所示,电源电动势为4v,内阻为1Ω,电阻R1、R2、R3的阻值均为3Ω ,电容器C的电容为30pF,电压表和电流表均为理想电表。闭合开关s电路达到稳定状态后。

求:(1)电压表和电流表的读数
(2)电容器C所带电荷量
参考答案:(1)
(2)7.2×10-11c
本题解析:(1)电阻R1、R2、R3串联,电流表的读数为:
,
电压表示数是电阻1、2两端的电压:
(2)电容器的带电量为:Q=CUC=CUR23=CIR23=30?F×0.4A×6Ω=7.2×10-11c
本题难度:一般
4、选择题 如图甲所示,在具有水平转轴
的圆柱体
点放一重物
,圆柱体缓慢地匀速转动,
从
转至
过程中与圆柱体始终保持相对静止,则
受到的摩擦力大小变化情况,图乙中表示正确的是
参考答案:A
本题解析:对物块P进行受力分析,把曲面当成倾角变化的斜面,列出摩擦力的表达式。
设物体所在位置的切线和水平面夹角为θ,则有
,P从A转至B过程中,θ先减小后增大,
先减小后增大,且按照正弦规律变化。
故选A
点评:中等难度。本题难点在于
和θ的函数关系图像的形状。
本题难度:简单
5、简答题 按照经典电子理论,电子在金属中运动的情形是这样的:在外加电场的作用下,自由电子发生定向移动,便产生了电流,电子在运动的过程中要不断地与金属离子发生碰撞,将动能交给金属离子,而自己的动能降为零,然后在电场的作用下重新开始加速运动(看成匀加速运动),经加速一段距离后,再与金属离子发生碰撞,电子在两次碰撞之间走的平均距离叫自由程,用L表示,电子运动的平均速度用
表示,导体单位体积内的自由电子数量为n,电子的质量为m,电子的电荷量为e,电流的表达式I=nqs.请证明金属导体的电阻率ρ=.
参考答案:设长度为自由程的导体两端的电压为U,则
根据欧姆定律得到,电阻R=UI? ①
根据电阻定律得,R=ρLS?②
导体中电流的微观表达式I=nqs.v? ③
在自由程内,电子在电场力作用作用下,速度从0加速到V,由动能定理得
? eU=12mV2? ④
又平均速度v=0+V2? ⑤
联立上述五式得到,金属导体的电阻率ρ=2m.vne2L.
得证.
本题解析:
本题难度:一般