微信搜索关注"91考试网"公众号,领30元,获取公务员、事业编、教师等考试资料40G!
1、计算题 在一种新的“子母球”表演中,让同一竖直线上的小球A和小球B,从距水平地面高度为ph(p>1)和h的地方同时由静止释放,如图所示。球A的质量为m,球B的质量为3m。设所有碰撞都是弹性碰撞,重力加速度大小为g,忽略球的直径、空气阻力及碰撞时间。

(1)求球B第一次落地时球A的速度大小;
(2)若球B在第一次上升过程中就能与球A相碰,求p的取值范围;
(3)在(2)情形下,要使球A第一次碰后能到达比其释放点更高的位置,求p应满足的条件。
参考答案:(1)A球速率
?(2)1<p<5?(3)1<p<3
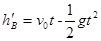
本题解析:(1)由于两球同时释放,所以球B第一次落地时A球下落的高度为h,设此时A球的速度大小为v0,由
可得,
。
(2)球B第一次落地并与地发生弹性碰撞后做竖直上抛运动。
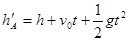
若球B上升到最大高度h处时刚好与球A发生碰撞,设此时球A来源:www.91exam.org自由下落的时间tA,则
=h,此时球A自由下落的高度
。联立以上两式,可得hA=4h,则ph=hA+h=5h,所以p=5。
若球B在第一次上升过程中就能与球A相碰,则p的取值范围应为1<p<5。
(3)设球B第一次落地并与地发生弹性碰撞后又上升了时间t就与球A相碰,则球A、B在空中碰前的速度大小分别为有
和
,设它们碰后的速度分别为
和
,选竖直向上为正方向,两球发生弹性碰撞,根据动量守恒和能量守恒,
,
联立解得,
。
碰撞时,A球自由下落的高度
,B球竖直上升的高度
则
联立解得
,即要使球A第一次碰后能到达比其释放点更高的位置
。
【考点定位】考查自由落体运动、竖直上抛运动、弹性碰撞等考点,意在考查考生的分析综合能力。
本题难度:一般
2、选择题 质量相等的A、B两物体,从等高处同时开始运动,A做自由落体运动,B做初速度为vo的平抛运动,不计空气阻力.下列说法错误的是( )
A.两物体在相等的时间内发生的位移相等
B.在任何时刻两物体总在同一水平面上
C.落地时两物体的速度大小不等
D.在相等的时间间隔内,两物体的速度变化量相等
参考答案:A、平抛运动在竖直方向上的运动为自由落体运动,在相等时间内竖直方向上的位移相等,但是平抛运动在水平方向上有位移,所以相等时间内发生的位移不等,在竖直方向位移相等,知道任何时刻两物体总是在同一水平面上.故A错误,B正确.
C、落地时,平抛运动竖直方向上的分速度与自由落体运动的落地速度相等,但是平抛运动水平方向上有速度,所以平抛运动的速度大于自由落体的落地速度.故C正确.
D、因为两运动的加速度不变,都是匀变速运动,所以相等时间内的速度变化量相等.故D正确.
故选BCD.
本题解析:
本题难度:一般
3、选择题 下列陈述符合物理学史的是
A.牛顿根据理想斜面实验,提出力不是维持物体运动的原因
B.胡克认为只有在一定的条件下,弹簧的弹力才与弹簧的形变量成正比
C.牛顿最早成功利用实验方法测出了万有引力常量
D.安培通过实验研究,发现了电流周围存在磁场
参考答案:B
本题解析:分析:伽利略根据理想斜面实验,提出力不是维持物体运动的原因.胡克认为只有在一定的条件下,弹簧的弹力才与弹簧的形变量成正比.卡文迪许最早成功利用实验方法测出了万有引力常量.奥斯特通过实验研究,发现了电流周围存在磁场.
解答:
A、伽利略根据理想斜面实验,提出力不是维持物体运动的原因,不是牛顿.故A错误.
B、胡克认为只有弹簧的弹性限度内,弹簧的弹力才与弹簧的形变量成正比.故B正确.
C、是卡文迪许最早成功利用实验方法测出了万有引力常量,不是牛顿.故C错误.
D、奥斯特过实验研究,发现了电流周围存在磁场.故D错误.
故选B
点评:对于物理学上重大发现和著名理论,要加强记忆,牢固掌握,这是小高考经常考查的内容.
本题难度:简单
4、简答题 如图所示导线框abcd固定在竖直平面内,bc段的电阻为R,其它部分的电阻可以忽略.ab、cd足够长,ef是一个水平导体杆,杆长为L,质量为m,电阻可以忽略.杆与ab、cd保持良好接触,又能无摩擦地滑动.整个装置放在匀强磁场中,磁场方向与框面垂直,磁感强度为B,现在把ef无初速释放,经过时间t后闭合开关K.
(1)如果最终ef能匀速下落,速度是多大?
(2)讨论t取不同值时,开关闭合后ef可能作什么运动?
参考答案:(1)最终匀速下落时,
由FA=mg,FA=BIL,I=BLvR
得v=mgRB2L2
(2)在开关闭合前,ef只受重力作自由落体运动,经过时间t,速度为?v=gt
此时ef中感应电动势ε=BLv
若开关闭合,电路中此时电流?I=εR

ef受安培力FA=BIL
由这四个式子得?FA=B2L2gtR
此时fe受力如右图
若FA<mg,即?t<mRB2L2
ef做加速度减小的加速下落,最终做匀速运动.
若FA>mg,即?t>mRB2L2,
ef做加速度减小的减速下落,最终做匀速运动.
若FA=mg,即?t=mRB2L2,ef将匀速下落
答:(1)最终ef能匀速下落,速度是v=mgRB2L2.
(2)t<mRB2L2,ef做加速度减小的加速下落,最终做匀速运动.
?t>mRB2L2,ef做加速度减小的减速下落,最终做匀速运动.
?t=mRB2L2,ef将匀速下落.
本题解析:
本题难度:一般
5、选择题 下列叙述中符合物理学史实的有
A.托马斯?杨通过对光的干涉现象的研究,证实了光具有波动性
B.玻尔的原子理论认为原子的能量是连续的
C.麦克斯韦根据电磁场理论,提出了光是一种电磁波
D.贝克勒尔发现了天然放射现象,并提出了原子的核式结构学说
参考答案:AC
本题解析:分析:杨氏双缝干涉实验证明光能够发生干涉现象;波尔的原子理论认为原子的能量是不连续的;麦克斯韦提出了电磁理论,并预言了电磁波的存在,并提出光是一种电磁波.贝克勒尔发现了天然放射现象,卢瑟福提出了核式结构模型.
解答:A、杨氏双缝干涉实验证明光能够发生干涉现象,而只有波才能发生干涉现象,故该实验证明了光具有波动性.故A正确.
B、波尔的原子理论认为原子的能量是不连续的,是量子化的.故B错误.
C、麦克斯韦提出了电磁理论,并预言了电磁波的存在,并提出光是一种电磁波.故C正确.
D、贝克勒尔发现了天然放射现象,卢瑟福提出了核式结构模型.故D错误.
故选AC.
点评:加强基础知识的积累是解决此类题目的关键故多读多看课本就能顺利解决此类问题.
本题难度:简单