高考省级导航

全国 A安徽 B北京 C重庆 F福建 G广东 广西 甘肃 贵州 H河南 河北 湖南 湖北 黑龙江 海南 J江苏 江西 吉林 L辽宁 N内蒙古 宁夏 Q青海 S山东 山西 陕西 四川 上海 T天津
     X新疆 西藏 Y云南 Z浙江

高考物理高频试题、高中物理题库汇总-压中真题已成为一种习惯

★力学★ 运动的描述: 质点、参考系、坐标系 时间与时刻 位移与路程 速度、速率 平均速度和瞬时速度 加速度 电磁打点计时器和电火花计时器 直线运动: 匀速直线运动 匀变速直线运动 匀变速直线运动基本公式应用 匀变速直线运动导出公式应用 自由落体运动 竖直上抛运动 探究小车速度随时间变化的规律 运动的图象 S-t图象 V-t图象 追及相遇问题 相互作用: 力的描述 重力 弹力 弹性形变和弹力 探究弹力和弹簧伸长的关系 摩擦力 滑动摩擦力 静摩擦力 力的合成与分解 平行四边形定则 力的合成 力的分解 正交分解 共点力的平衡 三力平衡 动态平衡分析 力矩平衡 牛顿运动定律: 牛顿第一定律 伽利略理想实验 惯性与质量 牛顿第二定律及应用 对单物体(质点)的应用 对质点系的应用 连接体问题 牛顿定律与图象 超重失重 探究加速度与力、质量的关系 牛顿第三定律 牛顿运动定律与电磁学综合 曲线运动: 曲线运动的特点 运动的合成与分解 位移的合成与分解 速度的合成与分解 小船渡河问题分析 最短时间过河 最短位移过河 拋体运动的规律 平抛运动的概念与轨迹 平抛运动的运动规律 研究平抛运动 斜抛运动 圆周运动 描述圆周运动的物理量 匀速圆周运动 向心力与向心加速度 圆周运动实例分析 离心运动和向心运动 万有引力与航天: 开普勒定律 万有引力定律及其应用 天体的匀速圆周运动的模型 人造卫星与飞船 近地卫星和同步卫星 宇宙速度 功和机械能: 恒力做功 变力做功 功率 功率的概念 机车启动 动能与重力势能 动能 探究功与速度变化的关系 弹性势能 动能定理及应用 动能定理的理解 动能定理的综合应用 摩擦力做功 皮带模型 机械能守恒定律 机械能 机械能守恒及其条件 机械能综合应用 能量守恒定律 功能关系 动量: 动量和冲量 动量 冲量 动量定理 动量守恒定律 碰撞 弹性碰撞 非弹性碰撞 反冲 反冲现象 爆炸 机械振动、机械波: 简谐运动 简谐运动的图象 单摆 用单摆测重力加速度 阻尼振动 受迫振动和共振 机械波的形成和传播 机械波的图象 波的干涉和衍射 多普勒效应 波长、波速和频率的关系 力学综合: 子弹打木块模型 弹簧综合 应用数学知识综合 ★电磁学★ 静电现象: 电荷 库仑定律 静电场 电场强度 电场强度的叠加 电势能和电势 等势面 电势差 电势差与电场强度的关系 静电平衡 静电场中的导体 电容器 电容 平行板电容器的电容 电容器的动态分析 电荷在电场中的加速 电荷在电场中的偏转 电荷在交变电场中的运动 示波管的原理与使用 恒定电流: 电源和电流 电流和电荷量 电阻和欧姆定律 电阻、电阻率 影响导体电阻的因素、电阻定律 导体的伏安特性曲线 电阻定律 电功率和电功 焦耳定律 闭合电路的欧姆定律 电源电动势和内阻 全电路的功和能 含容电路 半导体 超导 串联和并联 电表 电流表的构造及使用 欧姆表 练习使用多用电表 磁场: 磁现象和磁场 磁场、地磁场 磁感应强度 安培分子电流假说 通电导线在磁场中受到的力 安培力及其方向 左手定则 安培力的大小 洛伦兹力 粒子在有界磁场中运动 粒子在复合场中运动 磁场和重力场的复合 磁场、电场和重力场复合 电磁场的应用 质谱仪 回旋加速器 电磁流量计 磁流体发电机 电磁感应: 电磁感应现象 楞次定律 法拉第电磁感应定律及应用 磁通量 互感与自感 电磁感应与力学 电磁感应与电路 电磁感应与图象 电磁感应中切割类问题 电磁感应中磁变类问题 交变电流: 交变电流的产生及规律 描述交变电流的物理量 周期和频率 交流电的最大值与有效值 交流电图象 变压器原理 电能的输送 电感和电容对交流电的影响 示波器的使用 门电路 传感器: 与门、或门、非门 门电路设计与应用 传感器 电磁波: 电磁场与电磁波 电磁波的发射和接收 电磁波谱 电磁场理论 复合场: ★热学★ 分子动理论: 物质由大量分子组成 用油膜法估测分子直径的大小 分子大小与阿伏加德罗常数 分子热运动 扩散 布朗运动 分子间的作用力 分子动能、分子势能、内能 温度、温度计和温标 热力学定律: 热力学第一定律 热力学第二定律 热力学第三定律 热机: 热机原理与热机效率 内燃机原理 电冰箱与空调器 固体: 晶体和非晶体 晶体的微观结构 液体: 液体的表面张力 浸润和不浸润、毛细现象 气体: 气体的状态方程 气体实验定律 饱和汽与饱和气压 空气湿度、湿度计 物态变化中的能量交换: ★光学★ 光的反射和折射: 光的反射定律 光的折射定律 折射率 测定玻璃的折射率 全反射、临界角 光的干涉和衍射: 杨氏干涉实验 用双缝干涉测量光的波长 光的衍射 衍射光栅 光的偏振和色散: 偏振现象 偏振现象的应用 光谱 光的色散、光的颜色 薄膜干涉、衍射、折射中的色散 激光: 激光及其特点 光的粒子性: 光子的动量 光电效应 康普顿效应 物质波 光的波粒二象性 ★原子物理与相对论★ 原子结构: 原子的核式结构 氢原子光谱 玻尔原子理论 原子核: 原子核的组成 原子核的衰变、半衰期 核反应方程 质能方程 放射性的应用与防护 核裂变与核聚变 探测射线的方法 夸克: 宇宙和恒星的演化 相对论: 经典时空观与相对论时空观 狭义相对论的两个基本假设 同时的相对性 时间间隔的相对性 ★物理实验★ 力学实验 热学实验 电磁学实验 光学实验 其他实验 ★物理学史和研究方法★ 物理学史: 研究方法: 整体法隔离法 控制变量法 假设法 等效法 图象法 极限法 微元法 ★单位制及量纲★ ★当代社会热点问题★ ★其他★ 能源和可持续发展:

高考物理知识点《气体实验定律》高频试题巩固(2017年最新版)(十)
2017-08-09 08:23:48 来源:91考试网 作者:www.91exam.org 【
微信搜索关注"91考试网"公众号,领30元,获取公务员、事业编、教师等考试资料40G!

1、计算题  【选修3-3选做题】
图示水平放置的AB气缸的长度和截面积均为20 cm和10 cm2,C是可在气缸内无摩擦滑动的、厚度不计的活塞,D为阀门,整个装置均由导热材料制成.开始阀门关闭,A内有压强为pA=2.0×105 Pa 的氮气,B内有压强为pB=1.2×105 Pa的氧气;阀门打开后,活塞C向右移动,最后达到平衡,试求活塞C移动的距离及平衡后B中气体的压强.


参考答案:解:设活塞移动的距离为x,平衡后B中气体压强为p,由玻意耳定律得
A部分气体有:
B部分气体有:?
代入相关数据解得:


本题解析:


本题难度:一般



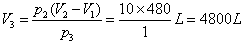
2、计算题  氧气瓶的容积是40L,其中氧气的压强是130atm,规定瓶内氧气压强降到10atm时就要重新充氧,有一个车间,每天需要用1atm的氧气400L,这瓶氧气能用几天?假定温度不变。


参考答案:解:下面用图示的方框图表示思路

由V1→V2:P1V1=P2V2,
由(V2-V1)→V3:P2(V2-V1)=p3V3,
(天)


本题解析:


本题难度:一般



3、计算题  [物理——选修3-3]
(1)(5分)下列说法正确的是________。(填选项前的字母)
A.布朗运动是悬浮在液体中固体颗粒的分子无规则运动的反映
B.没有摩擦的理想热机可以把吸收的热量全部转化为机械能
C.知道某物质的摩尔质量和密度可求出阿伏加德罗常数
D.内能不同的物体,它们分子运动的平均动能可能相同

(2)(10分)如图所示,一根粗细均匀、内壁光滑的玻璃管竖直放置,玻璃管上端有一抽气孔,管内下部被活塞封住一定质量的理想气体,气体温度为T1。现将活塞上方的气体缓慢抽出,当活塞上方的压强达到p0时,活塞下方气体的体积为V1,此时活塞上方玻璃管的容积为2.6 V1,活塞因重力而产生的压强为0.5p0。继续将活塞上方抽成真空后密封,整个抽气过程中管内气体温度始终保持不变,然后将密封的气体缓慢加热。求:
(1)活塞刚碰到玻璃管顶部时气体的温度T2;
(2)当气体温度达到1.8T1时的压强p


参考答案:[物理——选修3-3](15分)(1)D(2)?T2=1.2 T1(2分)
(2)?p=0.75p0(2分)


本题解析:[物理——选修3-3](15分)(1)D(2)解析:(1)从活塞上方的压强达到p0到活塞上方抽成真空的过程为等温过程:1.5p0?V1=0.5p0?V2(2分),V2=3V1,缓慢加热,当活塞刚碰到玻璃管顶部时为等压过程:=(2分)?T2=1.2 T1(2分)
(2)继续加热到1.8T1时为等容过程:=,(2分)?p=0.75p0(2分)


本题难度:一般



4、选择题  若一气泡从湖底上升到湖面的过程中温度保持不变,则在此过程中关于气泡中的气体,下列说法中正确的是

[? ]


A.气体分子间的作用力增大
B.气体分子的平均速率增大
C.气体分子的平均动能减小
D.气体组成的系统的熵增加


参考答案:D


本题解析:


本题难度:一般



5、选择题  氧气瓶在储存过程中,由于密封不严,其瓶内氧气的压强和体积变化如图中A到B所示,则瓶内氧气的温度


[? ]


A.一直升高
B.一直下降
C.先升高后降低
D.不变


参考答案:D


本题解析:


本题难度:一般



Cowards die many times before their deaths. 胆怯者在真正死亡前已死过多次.
】【打印繁体】 【关闭】 【返回顶部
下一篇高考物理知识点总结《重力》试题..

网站客服QQ: 960335752 - 14613519 - 791315772