微信搜索关注"91考试网"公众号,领30元,获取公务员、事业编、教师等考试资料40G!
1、选择题 关于丙烯醛(CH2=CH-CHO)的化学性质叙述中错误的是( )
A.能起银镜反应,表现氧化性
B.能使溴水褪色,发生加成反应
C.能与新制Cu(OH)2发生反应
D.一定条件下,能发生加聚反应
参考答案:AB
本题解析:
本题难度:简单
2、填空题 有下列六种基团:①苯基;②醛基;③羟基;④羧基;⑤乙基,⑥氯原子(-Cl)这六种基团两两结合,可形成新的化合物,写出符合下列条件的化合物的结构简式.
(1)分子内氧原子数不超过2个,具有酸性,但不能和碳酸氢钠反应______.
(2)分子内氧原子数不超过2个,能发生银镜反应的物质,除苯甲醛和甲酰氯(Cl-CHO)外还有______.
(3)不稳定的两元弱酸______.
参考答案:(1)不能和碳酸氢钠反应,说明不含有-COOH,且酸性比碳酸弱,符合条件的有①③结合生成苯酚,③⑥结合为次氯酸,故答案为:苯酚、次氯酸;
(2)能发生银镜反应,说明含有-CHO,除苯甲醛和甲酰氯(Cl-CHO)外还有②⑤结合生成丙醛,②③结合为加酸,
故答案为:丙醛、甲酸;
(3)不稳定的二元弱酸为碳酸,为③④结合,故答案为:碳酸.
本题解析:
本题难度:一般
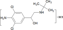
3、选择题 2011年央视3?15特别行动节目抛出一枚食品安全重弹,曝光了双汇在食品生产中使用含有“瘦肉精”的猪肉.瘦肉精的学名为盐酸克伦特罗,其结构简式如图所示:
,下列说法正确的是( ? )
A.瘦肉精能发生水解反应
B.瘦肉精的分子式为C12H16Cl2N2O,其属于蛋白质
C.瘦肉精中含有
等官能团
D.瘦肉精在一定条件下能发生加成反应
参考答案:AD
本题解析:
本题难度:一般
4、简答题 将下列物质分别注入水中,振荡后静置,能分层浮于水面的是①苯?②乙酸乙酯?③乙醇?④乙酸?⑤油脂?⑥硝基苯( )
A.①②③
B.①③⑤
C.①②⑤
D.①②⑤⑥
参考答案:将物质分别注入水中,振荡后静置,能分层浮于水面,说明有机物不溶于水,且密度比水小,则
①苯、②乙酸乙酯、⑤油脂都不溶于水,密度比水小,分别注入水中,振荡后静置,能分层浮于水面,
而③乙醇、④乙酸都与水混溶,
故选C.
本题解析:
本题难度:一般
5、选择题 下列关于有机物的说法中,正确的是?
[? ]
①用尿素和甲醛制脲醛树脂包括加成反应和缩聚反应 ?
②标准状况下,22.4?L甲醛所含电子数约为16NA ?
③甲醇通常是一种有毒气体,分子中只含极性键
④苯酚与碳酸钠溶液的反应:
⑤
的名称为:2,2,4-三甲基-4-戊烯 ?
⑥3-甲基-1-丁烯中的所有碳原来源:91考试网 91ExAm.org子不可能处于同一平面 ?
A.①②④⑥?
B.②③④⑥ ?
C.②⑤?
D.①③⑤⑥
参考答案:A
本题解析:
本题难度:简单