微信搜索关注"91考试网"公众号,领30元,获取公务员、事业编、教师等考试资料40G!
1、选择题 人的体味中存在两种名为AND和EST的荷尔蒙,结构如图所示。下列说法不正确的是

[? ]
A.AND和EST都能使酸性?KMnO4溶液褪色
B.AND和EST两者的相对分子质量之差为14?
C.AND和EST分别与足量氢气加成后的两种生成物? 互为同系物
D.AND和EST与溴水完全反应消耗溴单质的物质的量之比为2:3
参考答案:B
本题解析:
本题难度:简单
2、选择题 瘦肉精在医学上称为“盐酸克伦特罗”。它是白色或类白色的结晶粉末,无臭、味苦,熔点161℃,溶于水、乙醇,微溶于丙酮,不溶于乙醚,属β-兴奋剂类激素。是严重危害畜牧业健康发展和畜产品安全的毒品。其化学成分如图,下列有关盐酸克伦特罗说法错误的是

[? ]
A.分子式为C12H18Cl2N2O?
B.分子结构中有1个手性碳原子?
C.能发生加成、取代、消去、氧化?
D.能溶于所有有机溶剂
参考答案:D
本题解析:
本题难度:一般
3、选择题 美国《Science》杂志2006年2月10日报道了“关于植物是怎样互相窃听从而发现附近是否有一个很饿的食草动物”,提出了关于植物能释放出化学“云”(挥发性有机物)的假设。下图就是一种化学“云”--茉莉酮酸酯的结构简式,有关该物质的说法正确的是

[? ]
A.该物质能使酸性高锰酸钾溶液褪色
B.该物质分子中有三个亚甲基(-CH2-)
C.该物质能发生银镜反应
D.该物质在酸性条件下水解程度比碱性条件下水解程度大
参考答案:A
本题解析:
本题难度:一般
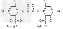
4、选择题 夏日的夜晚,常看见儿童手持发光的“魔棒”在广场上嬉戏。“魔棒”发光原理是利用过氧化氢氧化草酸二酯产生能量,该能量被传递给荧光物质后便发出荧光,草酸二酯(CPPO)结构简式如图。下列说法正确的是

[? ]
A.草酸二酯的分子式为C26H22Cl6O8
B.1mol草酸二酯与氢氧化钠稀溶液反应时(苯环上卤素不水解),最多消耗6molNaOH
C.草酸二酯水解可以得到两种有机物
D.1mol草酸二酯与氢气完全反应,需要氢气10mol
参考答案:B
本题解析:
本题难度:一般
5、选择题 被称为“魔棒”的荧光棒已成为节日之夜青少年的喜爱之物,其发光原理是利用H2O2氧化草酸二酯产生能量,该能量被传递给荧光物质后便发出荧光。下列有关说法不正确的是
草酸二酯(CPPO)结构简式为:
[? ]
A.草酸二酯属于卤代烃或酯类
B.草酸二酯的分子式为:C26H24O8Cl6
C.如果在发光中途,把它放入冰箱的冷冻室中,发光便会停止或基本停止
D.1molCPPO与氢氧化钠稀溶液反应(苯环上卤素不水解),最多消耗6molNaOH
参考答案:A
本题解析:
本题难度:一般