微信搜索关注"91考试网"公众号,领30元,获取公务员、事业编、教师等考试资料40G!
               
                  
                   
     
      
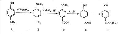
            1、填空题  (15分)室安卡因(G)是一种抗心率失常药物,可由下列路线合成;

(1)已知A是 的单体,则A中含有的官能团是_______(写名称)。B的结构简式是_______。
的单体,则A中含有的官能团是_______(写名称)。B的结构简式是_______。
(2)C的名称(系统命名)是_______,C与足量NaOH醇溶液共热时反应的化学方程式是__________。
(3)X是E的同分异构体,X分子中含有苯环,且苯环上一氯代物只有两种,则X可能的结构简式有 、________、________、________。(写出三种即可)
、________、________、________。(写出三种即可)
(4)F→G的反应类型是________。
(5)下列关于室安卡因(G)的说法正确的是________。
a.能发生加成反应? b.能使酸性高锰酸钾溶液褪色
c.能与盐酸反应生成盐? d..属于氨基酸
 
	参考答案:(1)碳碳双键羧基 CH3CH2COOH
(2)2-溴丙酸
(3) 
 (注:原答案少最后一种)
(注:原答案少最后一种)
(4)取代? (5)abc
	本题解析:(1) 是甲聚产物,所以其单体是CH2=CHCOOH,含有的官能团是碳碳双键羧基;A和氢气方式加成反应,生成B,所以B的结构简式为CH3CH2COOH。
是甲聚产物,所以其单体是CH2=CHCOOH,含有的官能团是碳碳双键羧基;A和氢气方式加成反应,生成B,所以B的结构简式为CH3CH2COOH。
(2)根据C的结构简式可知,C是2-溴丙酸;C中含有溴原子和羧基,所以能和2mol氢氧化钠反应,方程式为 。
。
(3)X苯环上一氯代物只有两种,因此如果苯环上有2个取代基,则一定是对位的,可能的结构简式为 ;如果含有3个取代基,则一定是2个甲基和1和氨基,可能的结构简式为
;如果含有3个取代基,则一定是2个甲基和1和氨基,可能的结构简式为 。
。
(4)F中的溴原子被氨基取代,因此是取代反应。
(5)根据G的结构简式可知,分子中含有肽键、氨基和苯环,所以选项abc都是正确,没有羧基,不能是氨基酸,d不正确,答案选abc。
	本题难度:一般
	        2、填空题  食品添加剂必须严格按照食品安全国家标准(GB2760-2011)的规定使用。作为食品添加剂中的防腐剂G和W,可经下列反应路线得到(部分反应条件略)。
(1)G的制备

①A与苯酚在分在组成上相差一个CH2原子团,他们互称为?;常温下A在水中的溶解度比苯酚的?(填“大”或“小”).
②经反应A B和D
B和D E保护的官能团是?.
E保护的官能团是?.
③E G的化学方程式为?.
G的化学方程式为?.
(2)W的制备

①J→L为加成反应,J的结构简式为__________。
②M→Q的反应中,Q分子中形成了新的_________(填“C-C键”或“C-H键” )。
③用Q的同分异构体Z制备 ,为避免
,为避免 发生,则合理的制备途径为酯化、??、??.(填反应类型)
发生,则合理的制备途径为酯化、??、??.(填反应类型)
④应用 的原理,由T制备W的反应步骤为
的原理,由T制备W的反应步骤为
第1步:??;第2步:消去反应;第3步:??.(第1、3步用化学方程式表示)
 
	参考答案:


	本题解析:略
	本题难度:一般
	        3、推断题  【选修5-有机化学基础】(15分)
已知:稀碱液中卤苯难水解。芳香族化合物C的分子式为C9H9OCl。C分子中有二条侧链,苯环上一氯代物只有二种,其核磁共振氢谱图中有五个吸收峰,吸收峰的面积之比为1∶2∶2∶2∶2。在一定条件下,由物质C可发生如图所示的转化:

(1)C→F的反应类型是_______;H的结构简式是________;
(2)C分子中的官能团名称?,最少有_____个碳原子共面;
(3)写出下列化学方程式:D与银氨溶液反应_________;E→I________;
(4)D的一种同系物W分子式为C8H8O2。则符合下列条件的W的同分异构体的结构简式?。?
条件:①属于芳香族化合物?②遇FeCl3溶液不变紫色?③1 mol W可与含2 mol NaOH的溶液反应
 
	参考答案:(1)消去反应(1分); (2分) ;
 (2分) ;
(2)8 (2分);氯原子 醛基(2分,各1分);
(3)
n

 +(n-1)H2O (2分)?
+(n-1)H2O (2分)?
(4) 或
或 (写出4种即可)(4分,每个1分)
(写出4种即可)(4分,每个1分)
(其他正确答案参照给分)
	本题解析:根据题给信息知,芳香族化合物C的分子式为C9H9OCl.C分子中有二条侧链,苯环上一氯代物只有二种,其核磁共振氢谱图中有五个吸收峰,吸收峰的面积之比为1:2:2:2:2,可知C的结构简式为 ,由转化关系可反应条件可知D为
,由转化关系可反应条件可知D为 ,E为
,E为 ,I为
,I为 ,F为
,F为 ,G为
,G为 ,H为
,H为 ,B为
,B为 ,A为
,A为 。(1)根据上述分析及题给转化关系知,C→F的为卤代烃的消去反应,反应类型是消去反应;H的结构简式是见解析;(2)C分子中的官能团名称氯原子、醛基,最少有8个碳原子共面;(3)D与银氨溶液反应醛基被氧化为羧基,E→I生成聚酯类高分子化合物,相关化学方程式见答案;(4)D的一种同系物W分子式为C8H8O2。①属于芳香族化合物②遇FeCl3溶液不变紫色,不含酚羟基;③1 mol W可与含2 mol NaOH的溶液,含有酯基,且水解生成羧基和酚羟基;应为乙酸苯酚酯、甲酸苯酚酯(含有甲基,有邻、间、对3种),共4种,结构简式见答案。
。(1)根据上述分析及题给转化关系知,C→F的为卤代烃的消去反应,反应类型是消去反应;H的结构简式是见解析;(2)C分子中的官能团名称氯原子、醛基,最少有8个碳原子共面;(3)D与银氨溶液反应醛基被氧化为羧基,E→I生成聚酯类高分子化合物,相关化学方程式见答案;(4)D的一种同系物W分子式为C8H8O2。①属于芳香族化合物②遇FeCl3溶液不变紫色,不含酚羟基;③1 mol W可与含2 mol NaOH的溶液,含有酯基,且水解生成羧基和酚羟基;应为乙酸苯酚酯、甲酸苯酚酯(含有甲基,有邻、间、对3种),共4种,结构简式见答案。
	本题难度:一般
	        4、填空题  [化学一选修5:有机化学基础](15分)
已知:

有机物A~H的转化关系如下图所示:

其中:①A不能使溴的四氯化碳溶液褪色,其核磁共振氢谱为单峰
②E、F互为同分异构体
请回答:
(1)C的化学名称是____________
(2) 由D生成E或F的反应类型是______;E的结构简式为______。
(3) 下列关于G的说法正确的是______ (填选项字母)。
a.? G可与FeCl3溶液发生显色反应
b.? —定条件下,G可发生消去反应
c.? 1 mol G与足量NaOH溶液反应,最多消耗2 mol NaOH
d.?在Cu催化、加热条件下,G可发生催化氧化反应
(4) 由C生成D的化学方程式为____________。
(5) 由G生成H的化学方程式为__________________
(6) 同时满足下列条件的E的同分异构体有______种(不考虑立体异构),任意写出其中一种物质的结构简式____________
a.属于酯类 b.含有六碳环结构 c.六碳环上只有一个取代基
 
	参考答案:(1) 环己醇(2分)? (2) 加成反应(1分)? ?(2分)
?(2分)
(3)? b(2分,多选不得分)? (4)  ?(2分)
?(2分)
(5)  (2分)
(2分)
(6)6?(3分)

 (任写一种,1分)
(任写一种,1分)
	本题解析:(1)A不能使溴的四氯化碳溶液褪色,其核磁共振氢谱为单峰,根据A和氯气发生取代反应的生成物B的分子式可知,A是环己烷,B是1-氯环己烷。B经过水解反应生成C,所以C是环己醇。
(2)环己醇发生催化氧化生成D,所以D是环己酮,结构简式为 。根据已知信息可知,环己酮和丙醛发生的是加成反应。由于F能发生银镜反应,所以F是
。根据已知信息可知,环己酮和丙醛发生的是加成反应。由于F能发生银镜反应,所以F是 ,则E是
,则E是 。
。
(3)F发生银镜反应生成G,所以G的结构简式为 。分子中没有酚羟基,a不正确,含有羟基,能发生消去反应,b正确。只有1个羧基,需要1mol‘氢氧化钠,c不正确。由于和羟基连接的碳原子上没有氢原子,所以不能发生催化氧化,d不正确,答案选b。
。分子中没有酚羟基,a不正确,含有羟基,能发生消去反应,b正确。只有1个羧基,需要1mol‘氢氧化钠,c不正确。由于和羟基连接的碳原子上没有氢原子,所以不能发生催化氧化,d不正确,答案选b。
(4)见答案
(5)G中含有羟基和羧基,所以能发生缩聚反应,生成高分子化合物H,方程式为(见答案)。
(6)属于酯类,说明含有-COO-结构。六碳环上只有一个取代基,所以可能的结构有以下6种,分别是

 。
。
	本题难度:一般
	        5、选择题  用乙炔为原料制取CH2Br—CHBrCl,可行的反应途径是  
A.先加Cl2,再加HBr
B.先加Cl2,再加Br2
C.先加HCl,再加HBr
D.先加HCl,再加Br2
 
	参考答案:D
	本题解析:用乙炔为原料制取CH2Br—CHBrCl时,可以采用两个方法,一个是先加Br2,再加先加HCl,一个是先加HCl,再加Br2,所以答案为D,对于A来说,先加Cl2,再加HBr?,只能得到CH2Cl—CHBrCl,同样BC得到更多不用的产物,但都不是
CH2Br—CHBrCl。
点评:该题考查了有机合成,是高考的常考考点,但是该题难度不大。
	本题难度:一般