微信搜索关注"91考试网"公众号,领30元,获取公务员、事业编、教师等考试资料40G!
1、选择题 在酯化反应的实验中制得的乙酸乙酯中混有少量的CH2COOH,应选用下列哪种试剂洗涤除去(?)
A.饱和Na2CO3溶液
B.乙醇
C.NaOH
D.水
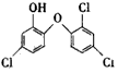
2、选择题 英国媒体2005年报道,某品牌牙膏中含有消毒剂三氯生,它遇含氯自来水能生成哥罗芳(三氯甲烷),哥罗芳能导致肝病甚至导致癌症。已知三氯生的结构简式如图所示。有关说法错误的是

[? ]
A.三氯生和哥罗芳都属于烃的衍生物
B.三氯生属于芳香化合物
C.Cl2与CH4在光照的条件下反应也有哥罗芳生成
D.三氯生和哥罗芳的分子中含有的相同官能团是Cl-
3、选择题 下列过程中肯定不可逆的是?
A.蛋白质的盐析
B.蛋白质的变性
C.乙酸乙酯的水解
D.CO2与水的反应
4、选择题 阿司匹林是一种常见的解热镇痛药,其结构简式为
。根据其结构推断,其可能有的性质为
[? ]
A.该物质能与浓溴水发生取代反应
B.该物质能发生酯化反应
C.该物质属于蛋白质
D.该物质极易溶于水和有机溶剂
5、选择题 品红分子结构中的发色基团遇到SO2与水形成的亚硫酸后结构发生改变,生成不稳定的无色化合物。亚硫酸漂白原理可用下面的反应方程式表示

下列说法不正确的是
[? ]
A.品红的分子式为C20H19N3
B.上述漂白原理反应属加成反应
C.碱性品红及与H2SO3生成的无色化合物都可与NaOH溶液反应
D.品红分子所有碳原子可能在同一平面上,形成的无色化合物最多只有14碳原子共面