微信搜索关注"91考试网"公众号,领30元,获取公务员、事业编、教师等考试资料40G!
1、简答题 四川汶川盛产品质优良的甜樱桃.甜樱桃中含有一种羟基酸(用A表示),A的碳链结构无支链,化学式为C4H6O5;1.34g?A与足量的碳酸氢钠溶液反应,生成标准状况下的气体0.448L.A在一定条件下可发生如下转化:

其中,F、G、M分别代表一种有机物.请回答下列问题:
(1)A的结构简式是______.
(2)C生成D的化学方程式是______.
(3)A与乙醇之间发生分子间脱水反应,可能生成的有机物共有______种.
(4)F的结构简式是______.
(5)写出G与水反应生成A和M的化学方程式:______.
2、简答题 有机物A、B、C分子式均为C5H8O2,有关的转化关系如图所示,已知:A的碳链无支链,且1mol A 能与4mol Ag(NH3)2OH完全反应;B为五元环酯.

已知:CH3-CH=CH-R
CH2Br-CH=CH-R
请完成下列问题:
(1)写出I中所含官能团的结构简式______.G中所含官能团的名称______.
(2)B的结构简式为______.
(3)写出下列反应方程式(有机物用结构简式表示),并注明反应类型D→C______;(______反应)E→F(只写①条件下的反应)______.(______反应)
3、填空题 (1)苯氯乙酮是一具有荷花香味且有强催泪作用的化学试剂,它的结构简式如图所示

则苯氯乙酮不可能具有的化学性质是________________(填字母序号)。
a.加成反应 b.取代反应 c.消去反应 d.水解反应 e.银镜反应 f.还原反应
(2)有下列化合物

请按酸性由强至弱排列甲、乙、丙的顺序:________________。
(3)由丙烯经下列反应可制得F、G两种高分子化合物,它们都是常用的塑料。

①聚合物F的结构简式:________________。
②C与新制的Cu(OH)2共热转化为D的化学方程式是:________________。
③在一定条件下,两分子E能脱去两分子水形成一种六元环状化合物,该化合物的结构简式是:
________________。
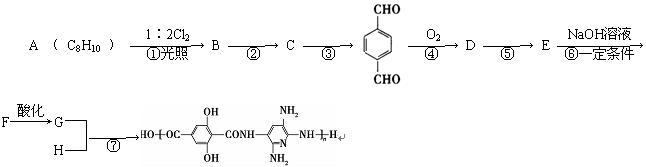
4、填空题 (15分)下面是某纤维的合成路线(部分反应未注明条件):

根据以上合成路线回答下列问题:
(1)A的名称是?,苯环上的一氯取代物有??种。
(2)反应②的条件是?,反应③的条件是?。
(3)写出反应④和⑦的化学反应方程式
④?、⑦?。
(4)符合下列条件的D的同分异构体有?种。
①能使FeCl3溶液显紫色?②含氧官能团的种类相同
5、填空题 某有机物A在不同条件下发生如图所示的反应,C又能分别转化为B和E,E能进一步被氧化.
其中只有B既能使溴水褪色,又能与Na2CO3溶液反应放出CO2.
请回答下列问题:
(1)化合物所属的类型:B______(填序号,下同),E______.
①一元醇?②二元醇?③酚?④醛?⑤饱和羧酸?⑥不饱和羧酸
(2)反应类型:反应①______;反应②______.
(3)物质C的结构简式为______.
(4)F的核磁共振氢谱峰面积之比为______.
(5)写出反应②的化学方程式:______.