微信搜索关注"91考试网"公众号,领30元,获取公务员、事业编、教师等考试资料40G!
1、填空题 光催化制氢是化学研究的热点之一。科学家利用含有吡啶环(吡啶的结构式为
,其性质类似于苯)的化合物Ⅱ作为中间体,实现了循环法制氢,示意图如下(仅列Ⅲ部分反应条件)

(1)化合物Ⅱ的分子式为____________________
(2)化合物I合成方法如下(反应条件略,除化合物Ⅲ的结构未标明外,反应式已配平):

化合物Ⅲ的名称是_______________
(3)用化合物V(结构式见下图)代替Ⅲ作原料,也能进行类似的上述反应,所得有机产物的结构式为
______________

(4)下列说法正确的是______________(填字母)
A、化合物V的名称是间羟基苯甲醛,或2-羟基苯甲醛
B、化合物I具有还原性;Ⅱ具有氧化性,但能被酸性高锰酸钾溶液氧化
C、化合物I、Ⅱ、Ⅳ都可发生水解反应
D、化合物v遇三氯化铁显色,还町发生氧化反应,但不能发生还原反应
(5)吡啶甲酸酯可作为金属离子的萃取剂。2-吡啶甲酸正丁酯(Ⅵ)的结构式见下图,其合成原料2-吡啶甲酸的结构式为______________;Ⅵ的同分异构体中,吡啶环上只有一个氢原子被取代的吡啶甲酸酯类同分异构体有______________种。?

参考答案:(1)C11H13O4N
(2)甲醛 (3)
(4)BC
(5)
;12
本题解析:
本题难度:困难
2、选择题 符合右图所示关系的D有几种

A.1
B.2
C.3
D.4
参考答案:A
本题解析:略
本题难度:简单
3、简答题 已知当一个碳原子上连有两个羟基时,易发生下列转化:

已知:A、B存在如图转化关系,根据下图所示回答下列问题:

(1)物质B能发生的反应类型是______(填序号).
a.取代反应?b.水解反应?c.消去反应
(2)已知相同情况下,等质量H2的体积是A蒸气体积的81倍.16.2gA在氧气中完全燃烧,生成44gCO2和9gH2O,则A的化学式为______.
(3)C具有如下特点:能跟FeCl3溶液发生显色反应;能发生加聚反应;苯环上的一氯代物只有两种.写出反应①的化学方程式:
______.
(4)G是C的同分异构体,属于芳香族化合物,能发生银镜反应,G有多种结构,写出苯环上只有一个取代基的同分异构体的结构简式______.
参考答案:B和氢氧化钠的水溶液发生水解反应、取代反应和消去反应生成乙酸钠和乙醛,乙酸钠和酸反应生成乙酸,F能转化为E,D和酸反应生成E,则F是乙醛,D是乙酸钠,E是乙酸;
相同情况下,等质量H2的体积是A蒸气体积的81倍,则A的相对分子质量是162,16.2gA的物质的量=
16.2162mol=0.1mol,44gCO2的物质的量=4444mol=1mol,9gH2O的物质的量=918mol=0.5mol,则A分子和碳原子、氢原子个数之比=0.1mol:1mol:1mol=1:10:10,所以该分子中含有10碳原子10氢原子,A的相对分子质量是162,则氧原子个数=162-12×10-1×1016=2,所以A的分子式为:C10H10O2;
C能跟FeCl3溶液发生显色反应说明含有酚羟基,能发生加聚反应说明含有碳碳双键,苯环上的一氯代物只有两种说明两个支链处于对位,A水解生成乙酸和C,所以C中含有8个碳原子,则C的结构简式为:

,A水解生成乙酸和C,则A的结构简式为:

.
(1)B含有氯原子和酯基,所以能发生水解反应和取代反应,但水解后同一个碳原子上含有两个羟基,则B水解时能发生消去反应,故选a,b,c;
(2)通过以上分析知,A的分子式为:C10H10O2,故答案为:C10H10O2;
(3)A水解生成C和乙酸,该反应方程式为:

,
故答案为:

;
(4)C的结构简式为:

,G是C的同分异构体,属于芳香族化合物说明含有苯环,能发生银镜反应说明含有醛基,G有多种结构,苯环上只有一个取代基C的同分异构体的结构简式为:

,故答案为:

.
本题解析:
本题难度:一般
4、选择题 某有机物甲经氧化后得乙(分子式为C2H3O2Cl);而甲经水解可得丙,1mol丙和2mol乙反应的一种含氯的酯(C6H8O4Cl2).由此推断甲的结构简式为( )
A.HO-CH2-CH2-OH
B.OHC-O-CH2Cl
C.ClCH2CHO
D.ClCH2CH2OH
参考答案:D
本题解析:
本题难度:一般
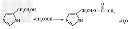
5、推断题 某些高分子催化剂可用于?有机合成。下面是一种高分子催化剂(Ⅶ)合成路线的一部分(Ⅲ和Ⅵ都是Ⅶ的单体;反应均在一定条件下进行;化合物Ⅰ~Ⅲ和Ⅶ中含N杂环的性质类似于苯环)

回答下列问题:
(1)写出由化合物Ⅰ合成化合物Ⅱ的反应方程式_____________________(不要求标出反应条件)。
(2)下列关于化合物Ⅰ、Ⅱ和Ⅲ的说法中,正确的是________________(填字母)。
A.化合物Ⅰ可以发生氧化反应
B.化合物Ⅰ与金属钠反应不生成氢气
C.化合物Ⅱ可以发生水解反应
D.化合物Ⅲ不可以使溴的四氯化碳溶液褪色
E.化合物Ⅲ属于烯烃类化合物
(3)化合物Ⅵ是___________(填字母)类化合物。
A.醇 B.烷烃 C.烯烃 D.酸 E.酯
(4)写出2种可鉴别Ⅴ和Ⅵ的化学试剂_____________________________________。
(5)在上述合成路线中,化合物Ⅳ和Ⅴ在催化剂的作用下与氧气反应生成Ⅵ和水,写出反应方程式______________________(不要求标出反应条件)。
参考答案:(1)
?
(2)AC
(3)E
(4)饱和Na2CO3溶液、酸性KMnO4溶液
(5)2CH2=CH2+2CH3COOH+O2
2CH3COOCH3+2H2O
本题解析:
本题难度:困难