1、填空题 [化学—选修有机化学基础](15分)A、B、C、D、E、F、G都是链状有机物,它们的转化关系如图所示,D的相对分子质量与E相差42,请回答下列问题;

(1)D中含有的官能团是_________;D的分子式为________。
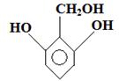
(2)D的核磁共振氢谱图上有3个峰,且峰面积之比为1:3:6,请写出D的结构简式__________。
(3)写出B生成C的化学方程式___________.
(4)A只含一种官能团,则A的结构简式为___________。
(5)芳香族化合物H与G互为同分异构体,1molH与足量氢氧化钠溶液反应消耗2molNaOH,且H苯环上的一氯代物只有两种,写出符合条件的H的结构简式:______。
参考答案:27.(1)羧基、羟基(1分)? C7H10O7(2分)
(2)
?(2分)
(3)
(4)
(3分)
(5)?
?
(4分)
本题解析:1、根据图表可以看出D既可以和酸又可以与醇发生酯化反应,所以D中含有的官能团是为羧基和羟基,根据酯化反应的原理可以退出D的分子式为C7H10O7
2、D的核磁共振氢谱图上有3个峰,且峰面积之比为1:3:6,说明D中含有三种不同的氢原子,即可退出其结构式。
3、采用倒推法就可以推出C为醛B为醇,
4、A-B发生的是卤代烃的水解反应生成了醇。
5、1molH与足量氢氧化钠溶液反应消耗2molNaOH,说明H含有羟基或者羧基,且H苯环上的一氯代物只有两种,即可写出其结构式。
点评:本题属于有机常规推断题,根据反应的条件进行推断是解本题的关键点,同时相对分子质量的变化也可以推断出官能团之间的转化,要综合运用这些条件。
本题难度:一般
2、推断题 利用芳香烃X和链烃Y可以合成紫外线吸收剂BAD,已知G不能发生银镜反应,BAD结构简式为
。BAD的合成路线如下

试回答:
(1)写出结构简式Y ________________________ D____________________。
(2)属于取代反应的有_________________(填数字序号) 。
(3)1molBAD最多可与含____molNaOH的溶液完全反应
(4)写出反应④方程式__________________________________。
(5)写出B+G→H方程式_________________________________。
(6)E的同分异构体有下列性质:
①与FeCl3反应,溶液呈紫色;②能发生银镜反应,
则该同分异构体共有_________种
参考答案:(1)CH3CH=CH2;
(2)①②⑤
(3)6
(4)
(5)
(6)9
本题解析:
本题难度:困难
3、推断题 如下图所示,

已知A的产量是一个国家石油化工水平的标志,D具有酸性。E是具有香味的不溶于水的液体。
(1)写出A分子的空间构型是:________,结构简式_____________
(2)写出A→B的化学反应方程式:_____________,反应类型为:_____________,
(3)写出B+D→E的化学反应方程式:____________,反应类型为:______________。
参考答案:(1)平面形;CH2=CH2;
(2)
;加成反应;
(3)
;取代反应;
本题解析:
本题难度:一般
4、推断题 (三选一)【有机化学基础】
某芳香族化合物H常用作食用香精,用质谱法测得其相对分子质量为162,分子中C、H、O原子个数比为5:5:1,H只有一个支链,它能与溴的四氯化碳溶液发生加成反应,且在碱性条件下能发生水解反应,产物之一是甲醇,G是H的同分异构体。用芳香烃A为原料合成G的路线如下

(1)G的分子式是_______,H的结构简式是____________
(2)化合物C的官能团名称是__________,反应②、⑤的反应类型分别是________、_______。预测E分子中苯环侧链核磁共振氢谱峰面积(由小到大)之比为____________。
(3)写出反应①、⑥的化学方程式:
①:_______________________; ⑥:______________________。
(4)符合下列条件的F的同分异构体的结构简式是___________。
a.分子内含苯环,且苯环上只有一个支链
b.在一定条件下,1mol该物质与足量银氨溶液充分反应,生成4mol银单质
参考答案:(1)C10H10O2
(2)羟基;取代(或水解)反应;消去反应;1:1:3(3)
;

(4)
本题解析:
本题难度:一般
5、填空题 按要求写出下列反应的化学方程式并指明反应类型
(1)1,3-丁二烯与足量溴水反应_______________________反应类型:_________
(2)1-溴丙烷与氢氧化钠醇溶液共热_______________________反应类型:_________
(3)苯酚加入浓溴水产生白色沉淀_______________________反应类型:_________
(4)乙醛与新制的氢氧化铜悬浊液共热_______________________反应类型:_________
(5)乙二酸与甲醇制备乙二酸二甲酯_______________________反应类型:_________
参考答案:“略”
本题解析:
本题难度:一般