1、填空题 
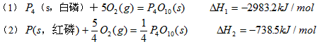
则白磷转化为红磷的热化学方程式_______________________ 。相同的状况下,能量较低的是_______;白磷的稳定性比红磷___________(填“高”或“低”)。
参考答案:P4(s)=4P(s) △H=-29.24kJ/mol;红磷;低
本题解析:
本题难度:一般
2、简答题 合成气(CO+H2)是一种重要的化工原料,在化工生产中具有十分广泛的用途.?可以生产被称为21世纪的新型燃料--甲醇、二甲醚(CH3OCH3)等物质.其工艺流程如下:
(1)写出用合成气生产二甲醚的化学方程式______.
(2)尾气循环中涉及到以下反应:CH4(g)+H2O(g)?CO(g)+3H2(g),请写出某温度下该反应的平衡常数表达式______.
(3)工业上一般采用下列两种反应合成甲醇:
反应Ⅰ:CO(g)+2H2(g)?CH3OH(g)△H1
反应Ⅱ:CO2(g)+3H2(g)?CH3(g)+H2O(g)△H2
①下表所列数据是反应在不同温度下的化学平衡常数(K).
| 温度 | 250 | 300 | 350 K 2.041 0.270 0.012
|
由表中数据判断△H1______0(填“>”、“=”、“<”).
②已和:CH3OH(g)+O2(g)═CO2(g)+2H2(g)△H3=-192.9kJ?mol-1
H2(g)+O2(g)═H2O(g)△H4=-241.8kJ?mol-1
则△H2=______.
(4)以二甲醚、空气、氢氧化钾溶液为原料,铂为电极构成燃料电池.写出该电池负极的电极反应式______.
参考答案:(1)一氧化碳和氢气在一定的条件下合成甲醇的化学方程式为:2CO+4H2?一定条件?.?CH3OCH3+H2O,故答案为:2CO+4H2?一定条件?.?CH3OCH3+H2O;
(2)反应的平衡常数表达式=各个生成物平衡浓度系数次方的乘积各个反应物平衡浓度系数次方的乘积,即表达式:K=c(CO)?c3(H2)c(H2O)?c(CH4),故答案为:K=c(CO)?c3(H2)c(H2O)?c(CH4);
(3)①根据表中数据可以看出:温度越高,化学平衡常数越小,而对于放热反应,该结论成立,故答案为:<;
②根据盖斯定律来计算化学反应的焓变得出△H2=-48.9kJ?mol-1,故答案为:-48.9kJ?mol-1;
(4)燃料电池中,负极上是燃料甲醚发生失电子的氧化反应,在碱性环境下,即为:CH3OCH3+160H--12e-═2CO32-+11H2O,故答案为:CH3OCH3+160H--12e-═2CO32-+11H2O.
本题解析:
本题难度:一般
3、简答题 1840年盖斯根据一系列实验事实得出规律,他指出:“若是一个反应可以分步进行,则各步反应的吸收或放出的热量总和与这个反应一次发生时吸收或放出的热量相同.”这是18世纪发现的一条重要规律,称为盖斯定律.已知1mol?金刚石和石墨分别在氧气中完全燃烧时放出的热量为:金刚石,395.41kJ;石墨,393.51kJ.则金刚石转化石墨时,放热还是吸热?______,其数值是_______,由此看来更稳定的是______.若取金刚石和石墨混合晶体共1mol?在O2中完全燃烧,产生热量为QkJ,则金刚石和石墨的物质的量之比为______(用含Q的代数式表示).
参考答案:由盖斯定律可知,要得到金刚石转化为石墨的热量变化,可将二者在氧气中完全燃烧时放出的热量相减即可,
得C(金刚石)═C(石墨)△H=-395.41kJ/mol-(-393.51kJ/mol)=-1.90kJ/mol,
即金刚石转化为石墨放出热量,说明石墨的能量更低,比金刚石稳定,
金刚石和石墨混合晶体共1mol?在O2中完全燃烧,产生热量为QkJ,
由十字交叉法

,
可得二者物质的量比为Q-393.51395.41-Q,
故答案为:放热;1.90kJ;石墨;Q-393.51395.41-Q.
本题解析:
本题难度:一般
4、选择题 己知?25℃、101kPa条件下:
4Al(s)+3O2(g)=2Al2O3,△H=-2834.9kJ?mol-1
4Al(s)+2O3(g)=2Al2O3,△H=-3119.1gkJ?mol-1
由此得出的正确结论是( )
A.等质量的O2比O3的能量低,由O2变O3为放热反应
B.等质量的O2比O3的能量低,由O2变O3为吸热反应
C.O3比O2稳定,由O2变O3为放热反应
D.O2比O3稳定,由O2变O3为吸热反应
参考答案:BD
本题解析:
本题难度:一般
5、简答题 硝酸是一种重要的化工原料,工业上一般以氨气为原料来制备硝酸.请回答:
(1)氨气催化氧化的化学方程式为______.
(2)硝酸厂的尾气直接排放将污染空气,目前科学家探索利用燃料气体中的甲烷等将氮的氧化物还原为氮气和水,反应机理为:
CH4(g)+4NO2(g)═4NO(g)+CO2(g)+2H2O(g)△H=-574kJ?mol-1
CH4(g)+4NO(g)═2N2(g)+CO2(g)+2H2O(g)△H=-1160kJ?mol-1
则甲烷直接将NO2还原为N2的热化学方程式为:______.
(3)氨气若在纯氧中燃烧,则发生反应为4NH3+3O2
2N2+6H2O,科学家利用此原理,设计成氨气-氧气燃料电池,则通入氨气的电极是______(填“正极”或“负极”);碱性条件下,该电极发生反应的电极反应式为______.
(4)制得的硝酸可以跟金属铜反应生成硝酸铜溶液,用石墨电极电解该硝酸铜溶液,则电解过程中阳极的电极反应式为______.
参考答案:(1)NH3与O2在催化剂、加热条件下发生反应生成NO和H2O:4NH3+5O2?催化剂?.加热4NO+6H2O,故答案为:4NH3+5O2?催化剂?.加热4NO+6H2O;
(2)①CH4(g)+4NO2(g)→4NO(g)+CO2(g)+2H2O(g)△H=-574kJ?mol-1
? ②CH4(g)+4NO(g)→2N2(g)+CO2(g)+2H2O(g)△H=-1160kJ?mol-1
根据盖斯定律(①+②)×12,得:CH4(g)+2NO2(g)=CO2(g)+N2(g)△H=-867kJ/mol,故答案为:CH4(g)+2NO2(g)=CO2(g)+N2(g)△H=-867kJ/mol;
(3)燃料电池中,燃料做负极,则通入氨气的电极是负极,碱性条件下,总反应:4NH3+3O2?点燃?.?2N2+6H2O,正极的电极反应:3O2↑+6H2O+12e-=12OH-,负极的电极反应式为:
4NH3+12OH--12e=2N2+12H2O,故答案为:负极;4NH3+12OH--12e=2N2+12H2O;
(4)Cu(NO3)2溶液中铜离子的放电能力大于氢离子的放电能力,所以铜离子先放电;氢氧根离子的放电能力大于硝酸根离子的放电能力,所以氢氧根离子先放电.阳极上失电子,发生氧化反应,所以氢氧根离子在阳极上失电子生成氧气:4OH--4e-=O2+2H2O;阴极上得电子,反应还原反应,所以铜离子的阴极上得电子生成铜:Cu2++2e-=Cu,
故答案为:4OH--4e-=O2+2H2O.
本题解析:
本题难度:一般