1、选择题 在5mL 0.15 mo1/L的某金属氯化物溶液中,滴加0.1 mo1/L AgNO3溶液,生成沉淀质量与加入AgNO3溶液体积关系如图所示,则该氯化物中金属元素的化合价为:

[? ]
A.+4
B.+3
C.+2
D.+1
参考答案:D
本题解析:
本题难度:一般
2、选择题 为了除去NO、NO2、N2O4对大气的污染,常采用氢氧化钠溶液进行吸收处理(反应方程式:3NO2 + 2NaOH→2NaNO3 + NO + H2O;NO2 + NO + 2NaOH→2NaNO2)。现有由a mol NO、b mol NO2、c mol N2O4组成的混合气体恰好被V L氢氧化钠溶液吸收(无气体剩余),则此氢氧化钠溶液的物质的量浓度最小为
[? ]
A.
mol/L
B.
mol/L
C.
mol/L
D.
mol/L
参考答案:C
本题解析:
本题难度:一般
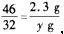
3、计算题 如下图所示是一密闭容器,已知A端盛2.3 g金属钠,B端盛有xg HgO,当同时加热容器的两侧支管时,钠着火燃烧,冷却后测得容器中空气成分并未发生变化,求x的值。(Hg的相对原子质量是200.6)

参考答案:空气成分未发生改变,表明钠燃烧消耗O2的质量和HgO分解释放出O2的质量相等。
设2.3 g金属钠燃烧消耗O2的质量为yg。
2Na+? O2
Na2O2
?46? 32?
?2.3 g? yg ,
解得y= 1.6。
2HgO
2Hg +O2↑
2×216.6?32?
?xg? 1.6g
,解得x= 21. 66。
本题解析:
本题难度:一般
4、选择题 在100 mL混合液乙中,HNO3和H2SO4的物质的量浓度分别是0.4 mol/L和0.1 mol/L,向该混合液中加入1. 92g铜粉,加热充分反应后,所得溶液中Cu2+的物质的量浓度是
[? ]
A.0.15 mol/L
B.0.225 mol/L
C.0. 35 mol/L
D.0.45 mol/L
参考答案:B
本题解析:
本题难度:一般
5、计算题 钾是活泼的碱金属,钾和氧有氧化钾(K2O)、过氧化钾(K2O2)和超氧化钾(KO2)等多种化合物。
(1)钾和硝酸钾反应可制得K2O(10K+2KNO3 = 6K2O+N2),39.0 g钾与10.1 g硝酸钾充分反应生成K2O的质量为________ g。
(2)某过氧化钾样品中氧的质量分数(杂质不含氧)为0.28,则样品中K2O2的质量分数为__________。
(3)超氧化钾和二氧化碳反应生成氧气(4KO2+2CO2 = 2K2CO3+3O2),在医院、矿井、潜水、高空飞行中用作供氧剂。13.2 L(标准状况)CO2和KO2反应后,气体体积变为18.8 L (标准状况),计算反应消耗的
KO2的质量。
(4)KO2加热至600 ℃部分分解得到产物A。6.30 g产物A充分吸收二氧化碳生成碳酸钾并产生氧气1.12 L(标准状况),试确定产物A中钾氧两种原子个数之比。如果产物A只含有两种化合物,写出所有可能的化学式并计算A中两种化合物的物质的量之比。
参考答案:(1)28.2g
(2)96.25%
(3)71g(4)
解得x:y=2:3,即n(K):n(O)=2:3。(合理即给分)
即得化学式为:n(KO2):n(K2O2) = 2:1,n(KO2):n(K2O) = 4:1
本题解析:
本题难度:一般