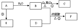
1、推断题 已知A的产量通常用来衡量一个国家的石油化工水平,D的结构可用下图模型表示。现以A为主要原料合成F和高分子化合物E,其合成路线如下图所示。


(1)A的结构式为_______________。 B中含官能团名称为__________________;
(2)写出反应的化学方程式
①:_______________________反应类型:____________
②:_______________________反应类型:____________
(3)实验室怎样鉴别B和D?_____________________________________
(4)在实验室里我们可以用如下图所示的装置来制取F,乙中所盛的试剂为_______________,该溶液的主要作用是__________________________;该装置图中有一个明显的错误是______________________。

2、简答题 已知:CH2=CH-CH=CH2?和CH3-CH=CH2分别可以写成:

和

;“双烯合成反应”又称为“Diels-Alder反应”,如:

.
请回答下列问题:
(1)现有反应:

,则物质A的结构式为:______;
在浓磷酸作用下,B与乙醇共热生成酯的化学方程式为:______.
(2)在反应:

中,D物质可发生反应生成一种生活中常用高分子,其化学方程式为:______;
将物质E与过量的H2发生加成反应,其生成物的化学式为______.
(3)

和

都是无色液体,下列物质中可以用来鉴别这两种物质的是______(填序号):①银氨溶液、②淀粉溶液、③溴水、④酸性KMnO4溶液;
(4)从现代化学观点看,“Diels-Alder反应”的优点是:______.
3、简答题 有机物A的结构简式为

,它可通过不同化学反应分别制得B、C、D和E四种物质.

请回答下列问题:
(1)在A~E五种物质中,互为同分异构体的是______(填代号).
(2)写出由A生成B的化学方程式______,反应类型:______.
(3)已知HCHO分子中所有原子都在同一平面内,则在上述分子中所有的原子有可能都在同一平面的物质是______(填序号).
(4)C能形成高聚物,该高聚物的结构简式为______.
(5)写出D与NaOH溶液共热反应的化学方程式______.
4、选择题 乙烯酮(CH2=C=O)在一定条件下能跟含活泼氢原子的化合物发生加成反应,反应的通式可表示为:

试指出下列反应不合理的是(?)
A.CH2==C==O+HCl
CH3COCl
B.CH2==C==O+H2O
CH3COOH
C.CH2==C==O+CH3CH2OH
CH3COCH2CH2OH
D.CH2==C==O+CH3COOH
(CH3CO)2O
5、推断题 以石油裂解气为原料,通过一系列化学反应可得到重要的化工产品增塑剂G。

请完成下列各题:
(1)写出反应类型:反应①________反应④________。
(2)写出反应条件:反应③________反应⑥________。
(3)反应②③的目的是:________________。
(4)写出反应⑤的化学方程式:_______________________。
(5)B被氧化成C的过程中会有中间产物生成,该中间产物可能是__________________(写出一种物质的结构简式),检验该物质存在的试剂是________。
(6)写出G的结构简式________________。