1、选择题 氧-18(188O)是氧的一种同位素,称为重氧。最近,兰州近代物理研究所研制出我国首批重氧气,可用符号18O2表示。重氧与普通氢组成的“水”称为重氧水。下列说法正确的是
[? ]
A.18g的18O2物质的量是0.1mol
B.0.1mol 18O2的体积是2.24L
C.18O2气体的摩尔质量是36g
D.0.1mol重氧水所含中子数约是6.02×1023个
参考答案:D
本题解析:
本题难度:简单
2、填空题 现有等物质的量的NaHCO3、KHCO3的混合物a g与100mL盐酸反应。题中涉及的气体体积均以标准状况计,填空时可以用带字母的公式表示。
(1)该混合物中NaHCO3与KHCO3的质量比为?。
(2)如碳酸氢盐与盐酸恰好完全反应,则盐酸的物质的量浓度为?mol·L-1。
(3)如果盐酸过量,生成CO2的体积为?L。
(4)如果反应后碳酸氢盐有剩余,盐酸不足量,要计算生成CO2的体积,还需要知道?。
(5)若NaHCO3和KHCO3不是以等物质的量混合,则a g固体混合物与足量的盐酸完全反应时生成CO2的体积范围是?。
参考答案:(1)84︰100?(2)5a/46?(3)22.4a/92或5.6a/23?(4)盐酸的物质的量浓度
(5)
本题解析:(1)物质的量相等时,质量之比是摩尔质量之比,所以二者的质量之比是84︰100。
(2)混合物中二者的物质的量都是a/184mol,则根据方程式HCO3-+H+=H2O+CO2↑可知,盐酸的物质的量是2a/184mol,则其浓度是2a/184mol÷0.1L=5a/46mol/L。
(3)根据碳原子守恒可知,生成CO2是2a/184×22.4L=22.4a/92L。
(4)由于盐酸不足,则生成的CO2需要以盐酸的物质的量进行计算,因此还需要知道盐酸的物质的量浓度。
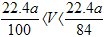
(5)可以采用极值法进行计算,即如果全部是碳酸氢钠,则生成CO2是22.4a/84L;如果全部是碳酸氢钾,则生成的CO2是22.4a/100L,所以范围是22.4a/100L<V<22.4a/84L。
本题难度:一般
3、选择题 NA为阿伏加德罗常数的数值,下列说法中不正确的是( )
A.常温常压下,22.4 L氯气与足量镁粉充分反应,转移的电子数为2NA
B.一定条件下,2.3 g的Na完全与O2反应生成3.6 g产物时失去的电子数为0.1NA
C.分子总数为NA的NO2和CO2混合气体含有的氧原子数为2NA
D.常温常压下,92 g NO2和N2O4的混合气体中含有的原子数为6NA
参考答案:A
本题解析:A选项常温下,不能使用22.4 L·mol-1进行计算,A错;B项反应后不论生成氧化钠还是过氧化钠,都会失去0.1 mol电子,正确;C选项1个NO2和1个CO2分子中都含有2个氧原子,故分子总数为NA的混合气体中含氧原子数为2NA中,正确;D项NO2和N2O4的最简式均为NO2,92 g混合气体中含NO2的物质的量为2 mol,故含有原子的总数为2×3NA=6NA。
本题难度:一般
4、选择题 NA代表阿伏加德罗常数的数值。下列有关叙述正确的是(?)
A.1 mol Cl2与足量的铁反应时转移电子数为3NA
B.3.4g NH3中含N—H键数目为0.2NA
C.10g重水含有的质子数为5 NA
D.1mol Na2O2固体中含有的离子总数为4NA
参考答案:C
本题解析:A错,1 mol Cl2与足量的铁反应时转移电子数为2NA;B错,3.4g NH3中含N—H键数目为0.6NA;C正确;D错,1mol Na2O2固体中含有的离子总数为3NA
本题难度:一般
5、选择题 我们已经知道:当气体分子的物质的量相同时,气体分子数相同。影响物质体积大小的因素有:构成物质的粒子大小、粒子个数、粒子间距,在不同条件下,它们对体积影响的程度会有所不同。试判断,如果4 g氨气含x个分子,那么8 g硫化氢中含有的分子数为 …
()
A.
B.
C.2
D.4
参考答案:B
本题解析:
,则
=
N(H2S)= 
本题难度:简单