1、填空题 氢是新型清洁能源,但难储运。研究发现,合金可用来储藏氢气。镧(13957La)和镍(5928Ni)的一种合 金就是储氢材料。该合金的晶胞如下图,镍原子除一个在中心外,其他都在面上,镧原子在顶点上。储 氢时氢原子存在于金属原子之间的空隙中。

(1)一定条件下,该贮氢材料能快速、可逆地存储和释放氢气,若每个晶胞可吸收3个H2,这一过程用化学方程式表示为:____。
(2)下列关于该贮氢材料及氢气的说法中,正确的是_______ (填序号)
A.该材料中镧原子和镍原子之间存在化学键,是原子晶体
B.氢分子被吸收时首先要在合金表面解离变成氢原子,同时放出热量
C.该材料贮氢时采用常温高压比采用常温常压更好
D.氢气很难液化是因为虽然其分子内氢键很强,但其分子间作用力很弱
(3)某研究性学习小组查阅的有关镍及其化合物的性质资料如下:

写出将NiO(OH)溶于浓盐酸的离子方程式:____。
(4)已知Ni(CO)6为正八面体结构,镍原子位于正八面体的中心,CO在正八面体的六个顶点上。若把其中两个CO换成NH3得到新化合物,则以下物质中互为同分异构体的是________ 。(填字母编号,任填一组)(图中黑点为NH3,圆圈 为CO,Ni略去)

参考答案:(1)LaNi5+3H2
LaNi5H6
(2)C
(3) 2NiO(OH) +6HCl(浓)==2NiCl2+Cl2↑+4H2O
(4)A和B(或A和C、A和D、B和E、C和E、D和E任一组均可)
本题解析:
本题难度:一般
2、选择题 分子式为C5H10的烯烃共有(要考虑顺反异构体)
[? ]
A.5种
B.6种
C.7种
D.8种
参考答案:B
本题解析:
本题难度:简单
3、选择题 分子式为C6H9Br的有机物其结构不可能是( )
A.含有一 个双键的直链有机物
B.含有两个双键的直链有机物
C.含有一个双键的环状有机物
D.含有一个叁键的直链有机物
参考答案:A.C6H9Br的不饱和度为2,含有一个双键的直链有机物不饱和度为1,故A错误;
B.C6H9Br的不饱和度为2,含有两个双键的直链有机物不饱和度为2,故B正确;
C.C6H9Br的不饱和度为2,含有一个双键的环状有机物不饱和度为2,故C正确;
D.C6H9Br的不饱和度为2,含有一个叁键的直链有机物不饱和度为2,故D正确;
故选:A;
本题解析:
本题难度:简单
4、选择题 金刚烷最早是在石油中发现的,其结构如图所示,则与金刚烷互为同分异构体的是

[? ]
A.
B.
C.
D.
参考答案:C
本题解析:
本题难度:简单
5、填空题 F是新型降压药替米沙坦的中间体,可由下列路线合成:

(1)A→B的反应类型是_______,D→E的反应类型是_______,E→F的反应类型是_________。
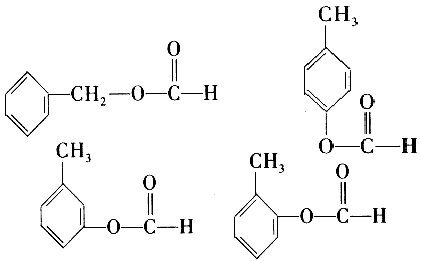
(2)写出满足下列条件的B的所有同分异构体_________(写结构简式)。
①含有苯环
②含有酯基
③能与新制Cu(OH)2反应
(3)C中含有的官能团名称是_________。已知固体C在加热条件下可溶于甲醇,下列C→D的有关说法正确的是_______。
a.使用过量的甲醇,是为了提高D的产率
b.浓硫酸的吸水性可能会导致溶液变黑
c.甲醇既是反应物,又是溶剂
d.D的化学式为C9H9NO4
(4)E的同分异构体苯丙氨酸经聚合反应形成的高聚物是________(写结构简式)。
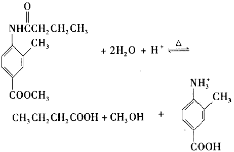
(5)已知:
在一定条件下可水解为R1COOH和R2-NH2,则F在强酸和长时间加热条件下发生水解反应的化学方程式是_____________________。
参考答案:(1)氧化反应;还原反应;取代反应
(2)
(3)硝基、羧基;a、c、d
(4)
(5)
本题解析:
本题难度:一般