高考省级导航

全国 A安徽 B北京 C重庆 F福建 G广东 广西 甘肃 贵州 H河南 河北 湖南 湖北 黑龙江 海南 J江苏 江西 吉林 L辽宁 N内蒙古 宁夏 Q青海 S山东 山西 陕西 四川 上海 T天津
     X新疆 西藏 Y云南 Z浙江

高考化学高频试题、高中化学题库汇总-压中真题已成为一种习惯

化学基本概念: 物质的组成、性质和分类 化学用语 化学常用计量 溶液和胶体 离子反应 氧化还原反应 化学基本理论: 物质结构和元素周期律 化学反应与能量 化学反应速率和化学平衡 电解质溶液 电化学 常见无机物及其应用: 金属及其化合物 非金属及其化合物 无机综合与推断 物质结构与性质: 原子结构与元素性质 化学键与物质的性质 分子间作用力与物质的性质 有机化合物及其应用: 有机化合物的组成与结构 烃的衍生物 生活中的有机物 高分子化合物 有机合成与推断 化学与生活和技术: 化学与健康 化学与材料的制造、应用 化学与环境保护 化学与资源开发利用 化学与工农业生产 化学实验: 化学实验基础知识 物质的分离、提纯和检验 物质的制备、收集和净化 定量实验 实验方案的设计与评价 化学计算: 溶液浓度计算 pH计算 反应热计算 氧化还原、电化学的计算 反应速率与平衡的有关计算 晶体计算 有机物燃烧规律的计算 认识化学学科: 化学学科的特点 化学史 绿色化学

高考化学知识点整理《有机合成与推断》试题特训(2019年最新版)(八)
2019-06-28 21:07:23 【

1、填空题  在国际环境问题中,一次性使用聚苯乙烯材料带来的“白色污染”极为严重,这种材料难分解、处理麻烦,最近研制的一种可降解塑料,代号为3HB,结构简式为具有良好的生物适应性,能在自然界降解。请回答下列问题:
(1)该可降解塑料在自然界中可通过________(填序号)反应降解为该聚合物的单体
A.加成
B.消去
C.水解
D.氧化

(2)该聚合物的单体的结构简式为_________________________________________,
该单体中具有的官能团的名称为______________。
(3)各取1 mol该单体分别与钠和碳酸氢钠溶液完全反应时,分别消耗钠和碳酸氢钠物质的量之比为________。


参考答案:(1)C (2)  羧基和羟基? (3)2∶1


本题解析:(1)由该高聚物的链节可知它是由乳酸()通过酯化反应而聚合得到的,所以该有机物降解时就是酯的水解过程。
(2)该单体具有两个官能团,分别是羧基(—COOH)和羟基(—OH)。
(3)醇羟基能与活泼金属反应生成H2,但不能与碳酸氢钠溶液反应,也不能与NaOH溶液反应,有机物中能与碳酸氢钠反应生成CO2的只有羧基。所以可得各取1 mol该单体分别与钠和碳酸氢钠溶液完全反应时,分别消耗钠和碳酸氢钠物质的量之比为2∶1。
点评:该题是高考中的常见题型,属于中等难度的试题。试题贴近高考,综合性强,在注重对基础知识巩固与训练的同时,侧重对学生能力的培养与解题方法的指导与训练。该类试题能较全面地考查学生的有机化学基础知识和逻辑思维能力、创造思维能力,提高学生的应试能力。该题的关键是记住常见官能团的结构、性质以及相互之间的转化,然后灵活运用即可。


本题难度:一般



2、填空题  (10分)有机化合物A为一元溴代有机酸,仅含C、H、O、Br元素,与A相关的反应框图如下:

⑴写出下列反应过程中的有机反应类型:
A→C中①是         ,C→E是         
⑵写出F的结构简式:            
⑶写出与C具有相同官能团的同分异构体的结构简式             
⑷写出反应A→B的化学方程式:                       


参考答案:(方程式3分,其余每空2分,共11分)
⑴消去反应(2分)?加成反应(2分)

 (2分)
⑶ (2分)
⑷?(3分)


本题解析:略


本题难度:一般



3、填空题  以乙烯为原料合成化合物C的流程如下所示

(1)请写出B和C中含有的官能团名称分别为:________________,_______________。
(2)写出A的结构简式_______________。
(3)①③的反应类型分别为_______________反应和_______________反应。
(4)写出乙醇的同分异构体__________________。
(5)写出反应②和④的化学方程式:
②______________________________; ④______________________________。
(6)写出B与新制氢氧化铜悬浊液反应的化学方程式:______________________________。


参考答案:(1)醛基;酯基
(2)
(3)加成;取代
(4)CH3OCH3
(5)②2CH3CH2OH+O22CH3CHO+2H2O;
④2CH3COOH+HOCH2-CH2OHCH3COOCH2-CH2OOCCH3+2H2O
(6)CH3CHO+2Cu(OH)2CH3COOH+Cu2O↓+2H2O


本题解析:


本题难度:一般



4、简答题  与淀粉相关的物质间转化关系如下图所示.其中B的分子中含有一个甲基,B与羧酸和醇均能发生酯化反应;C的催化氧化产物既是合成酚醛树脂的原料之一,又是常见的居室污染物;E能使Br2的CCl4溶液褪色.

(1)B的结构简式是______.
(2)E→F的化学方程式是______.
(3)某同学欲验证淀粉完全水解的产物A,进行如下实验操作:①在试管中加入少量淀粉 ②加热3~4min ③加入少量新制的Cu(OH)2悬浊液?④加入少量稀硫酸⑤加热?⑥待冷却后,滴加NaOH溶液至溶液呈碱性.则以上操作步骤正确的顺序是(填选项序号)______.
a.①②④⑤③⑥b.①④②③⑤⑥c.①④②⑥③⑤d.①⑤③④⑥②


参考答案:根据题意:B的分子中含有一个甲基,B与羧酸和醇均能发生酯化反应,说明B中既含有羧基有含有羟基,即B的结构简式为:





,C的催化氧化产物既是合成酚醛树脂的原料之一,又是常见的居室污染物,所以C是甲醇,甲醇和B之间发生酯化反应生酯D,即D为:

,在浓硫酸的作用下发生消去反应,生成E,即E的结构简式为:



,在一定的条件下,含有碳碳双键的化合物可以发生加聚反应生成高分子化合物,即F的结构简式为






(1)B的结构简式为:





,故答案为:






(2)E→F的转化过程是含有碳碳双键的物质能发生加聚反应的过程,方程式为:





,故答案为:n



引发剂


本题解析:


本题难度:一般



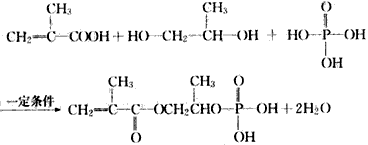
5、推断题  高分子材料M在光聚合物和金属涂料方面有重要用途。
已知:

M可以用丙烯为原料,通过如下图所示的路线合成


(1)A中两种官能团的名称是________和________。
(2)注明反应类型。C→甲基丙烯酸:_______,E→M:________。
(3)写出下列反应的化学方程式:
①D→C3H8O2____________________。②生成E:____________________。
(4)A→B的反应中还可能生成一种有机副产物,该副产物的结构简式为____________。
(5)写出与甲基丙烯酸具有相同官能团的所有同分异构体(包括顺反异构)的结构简式____________。
(6)请用合成路线流程图表示A→丙烯酸(CH2=CHCOOH)的合成线路,并注明反应条件。
提示:
①氧化羟基的条件足以氧化有机分子中的碳碳双键;
②合成过程中无机试剂任选;
③合成路线流程图示例如下:

______________________


参考答案:(1)碳碳双键;羟基
(2)消去反应;加聚反应 (3)

(4)
(5)
(6)


本题解析:


本题难度:困难



】【打印繁体】 【关闭】 【返回顶部
下一篇高考化学试题《氧化还原反应中的..

问题咨询请搜索关注"91考试网"微信公众号后留言咨询