1、填空题 乳酸(CH3-CHOH-COOH)是人体生理活动的一种代谢产物,其聚合物(聚乳酸)是一种新型可生物降解的高分子材料,主要用于制造可降解纤维、可降解塑料和医用材料.如图是工业上用化学方法对乳酸进行加工处理的过程,其中F中含有两个-OH,且A、H、G为链状高分子化合物.

回答下列问题:
(1)写出下列物质的结构简式:C______,H______.
(2)上述反应①~⑦中,②是______反应,③是______反应,⑥是______反应.(填反应类型的名称)
(3)写出下列反应的化学方程式:
①______.
⑦______.
2、填空题 苄佐卡因是一种医用麻醉药品,学名对氨基苯甲酸乙酯,它以对硝基甲苯为主要起始原料经下列反应制得:

请回答下列问题:
(1)写出A、B、C的结构简式:A____、B____、c____。
(2)用H核磁共振谱可以证明化合物C中有___种氢处于不同的化学环境。
(3)写出同时符合下列要求的化合物C的所有同分异构体的结构简式(E、F、G除 外)_____
①化合物是1,4-二取代苯,其中苯环上的一个取代基是硝基
②分子中含有
结构的基团
注:E、F、G结构如下:

(4)E、F、G中有一化合物经酸性水解,其中的一种产物能与FeCl3溶液发生显色反 应,写出该水解反应的化学方程式_______________________________________。
(5)苄佐卡因(D)的水解反应如下:

化合物H经聚合反应可制成高分子纤维,广泛用于通讯、导弹、宇航等领域。 请写出该聚合反应的化学方程式______________________________。
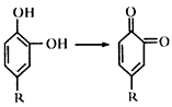
3、填空题 刚切开的苹果,不久果肉的颜色就会变成褐色,即苹果的“褐变”。对此现象,有多种说法。其说法之一是果肉里的酚在空气中转变为二醌(如图所示),这些二醌很快聚合成为咖啡色的聚合物。试回答

(1)若该说法正确,则图中变化的反应类型_______(填序号);
a.氧化反应 b.还原反应 c.加成反应 d.取代反应
(2)若上述酚类物质R基为-CH=CHCH3,如果苯环上的取代基与苯环直接相连的碳原子上有氢原子,不论取代基多长,在一定条件下都被氧化成羧基。请设计如图转化的方案:_______________________;

(3)B与乙醇反应的化学方程式是_______________;
(4)写出属于酯类物质且水解后得到苯酚的A的同分异构体(任写一种)_____________
4、推断题 在一定条件下,烯烃可发生臭氧化还原水解反应,生成羰基化合物,该反应可表示为

已知:
①化合物A,其分子式为C9H10O,它既能使溴的四氯化碳溶液褪色,又能与FeCl3溶液发生显色反应,且能与金属钠或NaOH溶液反应生成B;
②B发生臭氧化还原水解反应生成C,C能发生银镜反应;
③C催化加氢生成D,D在浓硫酸存在下加热生成E;
④E既能使溴的四氯化碳溶液褪色,又能与FeCl3溶液发生显色反应,且能与NaOH溶液反应生成F;
⑤F发生臭氧化还原水解反应生成G,G能发生银镜反应,遇酸转化为H(C7H6O2)。
请根据上述信息,完成下列填空:
(1)写出下列化合物的结构简式(如有多组化合物符合题意,只要写出其中的一组)
A______________,C_____________,E________________.
(2)写出分子式为C7H6O2的含有苯环的所有同分异构体的结构简式:
______________________________________
5、简答题 芳香化合物A是一种基本化工原料,可以从煤和石油中得到.OPA是一种重要的有机化工中间体.A、B、C、D、E、F和OPA的转化关系如下所示:

回答下列问题:
(1)A的化学名称是______;
(2)由A生成B?的反应类型是______.在该反应的副产物中,与B互为同分异构体的化合物的结构简式为______;
(3)写出C所有可能的结构简式______;
(4)D(邻苯二甲酸二乙酯)是一种增塑剂.请用A、不超过两个碳的有机物及合适的无机试剂为原料,经两步反应合成D.用化学方程式表示合成路线______;
(5)OPA的化学名称是______,OPA经中间体E可合成一种聚酯类高分子化合物F,由E合成F的反应类型为______,该反应的化学方程式为______.(提示

)
(6)芳香化合物G是E的同分异构体,G分子中含有醛基、酯基和醚基三种含氧官能团,写出G所有可能的结构简式______.