1、选择题  下列说法正确的是
[? ]
A.1mol乙烯与Cl2完全加成,然后再与Cl2完全取代,共需5mol Cl2
B.乙烯、苯都能使溴水褪色,两者的褪色原理相同 
C.2-丁烯不存在顺反异构体 
D.研究有机物一般要经过的基本步骤为:分离、提纯→元素定量分析(确定实验式)→测定相对分子质量(确定分子式)→波谱分析(确定结构式),其中最早提出元素定量分析的是法国化学家李比希 
 
	参考答案:AD
	本题解析:
	本题难度:简单
	        2、选择题  某烃的结构简式为 它可能具有的性质是
它可能具有的性质是
[? ]
A.易溶于水,也易溶于有机溶剂 
B.能发生加聚反应,其生成物可用表示 
C.能使溴水褪色,但不能使酸性KMnO4溶液褪色 
D.既能使溴水褪色,又能使酸性KMnO4溶液褪色 
 
	参考答案:D
	本题解析:
	本题难度:简单
	        3、选择题  由乙烯推测丙烯的结构或性质不正确的是 
[? ]
A.分子中所有的碳原子都在同一平面上
B.丙烯也能使酸性KMnO4溶液和Br2的CCl4溶液褪色 
C.与HCl发生加成反应只生成一种产物 
D.也能发生加聚反应 
 
	参考答案:C
	本题解析:
	本题难度:简单
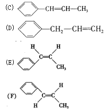
	        4、填空题  有机化学中有多种同分异构现象,其中有顺反异构,例如2-丁烯有下列两种顺反异构体:? 

(A)中的两个-CH3在双键的同一侧,称为顺式;
(B)中的两个-CH3在双键的不同侧,称为反式。
若把其中一个-CH3 换成-C2H5,只要在双键同侧,便称顺式,否则为反式。
据此苯丙烯(C9H10)具有(C)和(D)两种位置异构体,其中(C)具有顺式(E)和反式(F)两种异构体,请写出它们的结构简式_____________。
 
	参考答案:
	本题解析:
	本题难度:一般
	        5、填空题  有机物A的结构简式为 它可通过不同化学反应分别制得B、C、D和E四种物质。
它可通过不同化学反应分别制得B、C、D和E四种物质。 

请回答下列问题: ?
(1)写出A中官能团的名称_______________。 ?
(2)指出反应的类型:A→C:_____________。 ?
(3)在A~E五种物质中,互为同分异构体的是___________(填代号)。 ?
(4)已知HCHO分子中所有原子都在同一平面内,则在上述分子中所有的原子有可能都在同一平面的物质是______________(填代号)。 ?
(5)C能形成高聚物,写出C生成其高聚物的化学方程式 ?___________。 
 
	参考答案:(1)羟基、羧基?
(2)消去反应
(3)C和E 
(4)C(5)
	本题解析:
	本题难度:一般