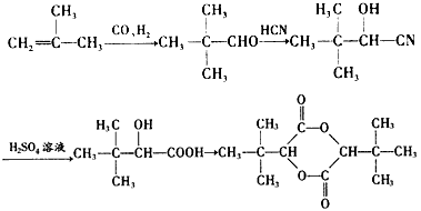
1、填空题 MMA既是一种高分子化合物(有机玻璃)的单体,又是制取甲基丙烯酸丙酯等的重要原料。现有三条制备高分子(MMA)的途径,其流程如下

(1)工业上将A和甲醇及过量硫酸一起,一步反应生成MMA,该反应的化学方程式为__________________
(2)反应②是在500℃并有催化剂存在的条件下发生的,则其反应类型为:_________________。
(3)某物质既能发生银镜反应,又能发生水解反应,其分子中还有手性碳原子,并与
互为同分异构体,则该物质结构简式为:____________________。
(4)物质D的核磁共振氢谱有两个峰,它与CO、CH3OH以物质的量之比1:1:1反应恰好生成MMA,则D的结构简式为___________________,该方法的优点是________________。
(5)MMA和1-丙醇反应制取甲基丙烯酸丙酯的化学方程式为:_________________。
(6)根据题中流程里提供的新信息,写出由(CH3)2C=CH2制备化合物
的合成路线流程图(无机试剂任选)。合成路线流程图示例如下

___________________________________
参考答案:(1)(CH3)2C(OH)CN+CH3OH+H2SO4→ CH2=C(CH3)COOCH3+NH4HSO4
(2)消去反应或氧化反应或裂解反应
(3)HCOOCH(CH3)CH2CH3
(4)CH
CCH3;原子利用率为100% (5)
(6)
本题解析:
本题难度:困难
2、推断题 有机物A是最常用的食用油抗氧化剂,分子式为C10H12O5,可发生如下转化:





已知B的相对分子质量为60,分子中只含一个甲基。C的结构可表示为:

请回答下列问题:
(1)B的结构简式为?C中含有的官能团-X的名称为??
(2)反应④的反应类型为?
(3)反应①的化学方程式为 ?
(4)从分子结构上看,A作为食用油抗氧化剂的主要原因是??
a.含有苯环? b.含有羰基? c.含有酚羟基
参考答案:(8分)⑴CH3CH2CH2OH?羧基(各1分)
⑵加聚反应(2分)
⑶

(2分)
⑷? C(2分)
本题解析:B的相对分子质量为60,分子中只含一个甲基,能在浓硫酸的作用下发生消去反应,则B为1-丙醇,即CH3CH2CH2OH,发生消去反应得到丙烯,即D为CH3CH═CH2,高分子化合物E为聚丙烯,
C能和碳酸钠发生反应生成二氧化碳,则一定含有羧基,能和氯化铁溶液发生显色反应,一定含有酚羟基,所以c为:
,B和C是A发生酯的水解反应得到的产物,所以A的结构简式为:
。
(1)B的名称为1-丙醇,结构简式为CH3CH2CH2OH。c为:
,官能团-X的名称为羧基。
(2)B为CH3CH2CH2OH,发生消去反应生成物质D为CH3CH==CH2,故D→E反应即反应④的反应类型为加聚反应。
(3)A为
与NaOH溶液反应的方程式为
。
(4)A具有抗氧化作用的主要原因是分子中有酚羟基,根据苯酚在空气中易被氧化为粉红色来确定即可,故答案为:c。
点评:本题是一道有关有机化合物的结构和性质的综合推断题,考查学生分析和解决问题的能力,综合性很强,难度大。
本题难度:困难
3、推断题 有机物A是烃的含氧衍生物,其相对分子质量为74。A在一定条件下存在如下转化关系,其中C为六元环状化合物,E具有芳香味的化合物。

根据以上条件,回答下列问题:
(1)D中含氧官能团的名称是____________________。
(2)推出C、F的结构简式为___________、_____________;
(3)A→D反应的化学方程式为___________________________,反应类型为_______________;
(4)A的同分异构体很多,写出与A不同官能团,但能与NaOH溶液反应的A的同分异构体____________;
(5)H为含氯有机化合物,则H的结构简式可能为_______________。
参考答案:(1)醛基
(2)
;
(3)
;消去反应(4)CH3-CH2-COOH、CH3-COOCH3、CH3-CH2OOCH
(5)
、
本题解析:
本题难度:困难
4、填空题 (11分) H是一种香料,可用下图的设计方案合成.

已知:①在一定条件下,有机物有下列转化关系:

②烃A和等物质的量的HCl在不同的条件下发生加成反应,既可以生成只含有一个甲基的B,也可以生成含有两个甲基的F。
(1)D的结构简式为________________,其核磁共振氢谱有_____组峰。
(2)烃A→B的化学反应方程式是_______________________________。
(3)F→G的化学反应类型为__________。
(4)E+G→H的化学反应方程式_____________________________________。
(5)H有多种同分异构体,其中含有一个羧基,且其一氯代物有两种的是____________。(用结构简式表示)
参考答案:(1)CH3CH2CHO? ,? 3?各2分
(2) (2)CH3CH===CH2+HCl
CH3CH2CH2Cl? 2分
(3)取代反应(或水解反应)? 1分
(4)CH3CH2COOH+CH3CH(OH)CH3
CH3CH2COOCH(CH3)2+H2O? 2分
2分
本题解析:根据E和G的生成物H可知,该反应是酯化反应,由于E和G中碳原子是相同的,所以根据H的分子式可知,E是丙酸,G是丙醇。则D是丙醛,C是1-丙醇,B是1-氯丙烷。根据②可知F是2-氯丙烷,所以G是2-氯丙醇。在H的同分异构体中,由于含有一个羧基,且其一氯代物有两种,说明分子中的氢原子除羧基的氢原子外,还有两类。因此根据分子式可知,分子中的甲基完全是相同的,即连在同一个碳原子上,所以结构简式为
。
本题难度:一般
5、填空题 胡椒酚甲醚(
)医学上又叫升白宁,对肿瘤患者化疗和放疗所致的白细胞减少症有较好的疗效。根据题意完成下列填空:
⑴ 胡椒酚 (
)与甲醇合成升白宁,该反应属于?反应。
在水中的溶解度:胡椒酚?苯酚。(填:大于、等于或小于)
⑵ 写出升白宁分子中不含氧原子的官能团的名称?。
⑶ 胡椒酚有多种同分异构体,其中能发生银镜反应且苯环上的一溴代物有两种的芳香族化合物的结构简式:?(任写两种)。
⑷ 写出升白宁与溴水反应的化学反应方程式:?。
参考答案:(12分)
⑴ 取代反应 (2分),小于(1分)。 ⑵ 碳碳双键(2分)。
⑶
?
?
?
(任写两种,每个2分)
⑷
+Br2 →
。(3分)
本题解析:⑴甲醇的分子式是CH3OH,通过观察分子结构式,可判断出胡椒酚与甲醇的反应属于取代反应。胡椒酚中含有其它不溶于水的烃基,故在水中的溶解度:胡椒酚小于苯酚。
⑵升白宁分子中含有两个官能团即醚键和碳碳双键,故不含氧原子的官能团的名称为碳碳双键。
⑶能发生银镜反应表明分子中含有醛基,苯环上的一溴代物有两种表明:①两个取代基是临位;②三个取代基间位或临位,故结构简式
?
?
?
(任写两种)。
⑷升白宁中的碳碳双键与溴水发生加成反应,方程式为
+Br2 →
。
点评:本题综合考查的了有机反应及方程式的书写、同分异构体和官能团的相关知识,题目浓度中,注意基础知识的学习、积累、掌握和应用。
本题难度:一般