微信搜索关注"91考试网"公众号,领30元,获取公务员、事业编、教师等考试资料40G!
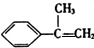
填空题 (9分)肉桂酸甲酯(
)常用于调制具有草莓、葡萄、樱桃、香子兰等香味的食用香精。
(1)肉桂酸甲酯的分子式是?????????????;
(2)有关肉桂酸甲酯的叙述中,正确的是???????????(填标号);
A.能与溴的四氯化碳溶液发生加成反应
B.无法使酸性高锰酸钾溶液褪色
C.在碱性条件下能发生水解反应
D.不可能发生加聚反应
(3)G为肉桂酸甲酯的一种同分异构体,其分子结构模型如
右图所示(图中球与球之间连线表示单键或双键)。G的
结构简式为????????????????????????????;
(4)用芳香烃A为原料合成G的路线如下:

① 化合物E中的官能团有?????????????????????(填名称)。
② F→G的反应类型是????????????????,该反应的化学方程式为????????????????????????????????????????????????????????????。
③ 写出符合下列条件的F的同分异构体的结构简式??????????????????????。
ⅰ.分子内含苯环,且苯环上 91Exam.org只有一个支链;
ⅱ.一定条件下,1mol该物质与足量银氨溶液充分反应,生成4mol银单质。
填空题 (9分)肉桂酸甲酯(
)常用于调制具有草莓、葡萄、樱桃、香子兰等香味的食用香精。
(1)肉桂酸甲酯的分子式是?????????????;
(2)有关肉桂酸甲酯的叙述中,正确的是???????????(填标号);
A.能与溴的四氯化碳溶液发生加成反应
B.无法使酸性高锰酸钾溶液褪色
C.在碱性条件下能发生水解反应
D.不可能发生加聚反应
(3)G为肉桂酸甲酯的一种同分异构体,其分子结构模型如
右图所示(图中球与球之间连线表示单键或双键)。G的
结构简式为????????????????????????????;
(4)用芳香烃A为原料合成G的路线如下:

① 化合物E中的官能团有?????????????????????(填名称)。
② F→G的反应类型是????????????????,该反应的化学方程式为????????????????????????????????????????????????????????????。
③ 写出符合下列条件的F的同分异构体的结构简式??????????????????????。
ⅰ.分子内含苯环,且苯环上只有一个支链;
ⅱ.一定条件下,1mol该物质与足量银 氨溶液充分反应,生成4mol银单质。
本题答案:(9分)(1)(1分)C10H10O2?????(2)(1分
本题解析:
分析:(1)根据分子式和结构特点推断含有的官能团,进而判断出结构简式.
(2)①根据C的结构可推断出流程中其它物质的结构特点,进而判断含有的官能团;
②根据含有的官能团可判断出有机物具有的化学性质;
③根据物质的性质可写出有关反应的化学方程式;
④根据分子式、结构特点可写出同分异构体.
解答:解:(1)肉桂酸甲酯能使溴水因发生化学反应而褪色,说明分子中含有碳碳双键,在NaOH溶液中易发生水解反应生成具有剧毒的醇类物质,说明含有酯基,并水解生成甲醇,根据分子式和结构要求可推断出结构简式,故答案为:
;
(2)①C含有两个羟基,其中一个羟基氧化为D生成醛基,D氧化为E生成羧基,故答案为:羧基;羟基;
②由C可推知A为
,F为
,则A生成B需发生加成反应,E生成F需发生消去反应,故答案为:加成反应;消去反应;
③根据C、F的性质可知,分别发生催化氧化和酯化反应,生成醛和酯,故答案为:
;
;
④分子内含苯环,且苯环上只有一个支链;一定条件下,1mol该物质与足量银氨溶液充分反应,生成4mol银单质。
,故答案为:
.
点评:本题考查有机物的结构和性质,为有机合成推断题型,做题时注意把握官能团的结构和性质.
本题所属考点:【有机物燃烧规律的计算】
本题难易程度:【一般】
Nothing comes out of the sack but what was in it . 空袋倒不出豆. /无中不能生有.