微信搜索关注"91考试网"公众号,领30元,获取公务员、事业编、教师等考试资料40G!
1、选择题 下列化学方程式或离子方程式书写不正确的是???
A.苯酚钠溶液中通入少量的C02气体:C02+H20+2C6H5O-
C6H50H+2C032-
B.在硫酸作催化剂、加热条件下乙烯与水发生加成反应: CH2=CH2+H2O
CH3CH20H
C.葡萄糖溶液与碱性氢氧化铜悬浊液混合后水浴加热:C6H12O6+2Cu(OH)2+NaOH
2CuO↓+C5H12COONa+3H2O
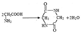
D.2分子甘氨酸
脱去2分子水: 
2、选择题 下列反应中,属于取代反应的是(??)
①CH3CH=CH2+Br2
CH3CHBrCH2Br?????? ②CH3CH2OH
CH2=CH2+H2O
③CH3COOH+CH3CH2OH
CH3COOCH2CH3+H2O?? ④ CH3Cl+Cl2→CH2Cl2+HCl
A.①②
B.③④
C.①③
D.②④
3、填空题 乙烯是一种重要的化工原料,以乙烯为原料衍生出部分化工产品的反应如下(部分反应条件已略去):

请回答下列问题:
(1)A物质的化学名称是____________________________________________;
(2)B和A反应生成C的化学方程式为________________________________,
该反应的类型为__________________________________________________;
(3)写出乙烯生成聚乙烯的化学方程式为_____________________________,
该反应的单体为____________,链节为___________,聚合度为__________。
4、选择题 历史上最早应用的还原性染料是靛蓝,其结构简式如图所示,下列关于靛蓝的叙述中错误的是( )

A.靛蓝由碳、氢、氧、氮四种元素组成
B.它的分子式是C16H10N2O2
C.该物质是高分子化合物
D.它是不饱和的有机物
5、选择题 在标准状况下,由两种气态烃组成的某混合气体2.24 L完全燃烧后,得到4.48 L二氧化碳和3.6 g水,则两种气态烃可能是 ( ?? )
A.CH4和C3H8
B.CH4和C3H4
C.C2H4和C3H4
D.C2H2和C2H4