微信搜索关注"91考试网"公众号,领30元,获取公务员、事业编、教师等考试资料40G!
1、填空题 (8分)
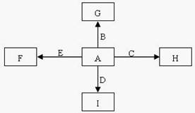
下图中,A、B、C、D、E是单质,G、H、I、F是B、C、D、E分别和A形成的化合物。

已知:
①?反应
能放出大量的热,该反应曾应用于铁轨的焊接;
②? I是一种常见的温室气体,它和
可以发生反应:2E+I
2F+D,F中的E元素的质量分数为60%.
回答问题:
(1)①中反应的化学方程式为____________________________________________;
(2)化合物Ⅰ的电子式为______________________;
(3)C与过量NaOH溶液反应的离子方程式为___________________________;
(4)推测E在I中燃烧可能观察到的现象是__________________________。
2、填空题 (14分)短周期元素形成的纯净物A、B、C、D、E的转化关系如下图所示,物质A与物质B之间的反应不在溶液中进行(E可能与A、B两种物质中的某种相同)。

请回答下列问题:
(1)若C是离子化合物,D是一种强碱,写出C的一
种化学式???。
(2)若E的水溶液呈现弱酸性,D是既能溶于强酸、又能溶于强碱的化合物。
①用电离方程式解释D既能溶于强酸,又能溶于强碱的原因?????????????????????。
②E与NaOH溶液反应后生成正盐的溶液中所有离子浓度之间大小关系????????????。
(3)若C是一种气体,D是一种强酸,则:
①C与水反应的化学方程式为?????????????????????????????。
②有人认为“浓H2SO4可以干燥气体C”。某同学为了验证该观点是否正确,用下图装置进行实验。实验过程中,浓H2SO4中未发现有气体逸出,浓硫酸变为红棕色,则你得出的结论是?????????????????。

③已知常温下物质A与物质B生成1mol气体C的△H为-57.07kJ·mol-1,1 mol气体C与H2O反应生成D溶液和E气体的△H为-46kJ ·mol-1,写出物质A与物质B及水生成D溶液的热化学方程式??????????????????????????????????????。
3、实验题 (6分)已知A是灰黑色的硬而脆的固体,B是气态物质,A~E各种物质的相互转化关系如下图所示。

(1)写出B、D、E三种物质的化学式:
?B??????,D???????,E????????;
(2)画出A的原子结构示意图??????????;
(3)写出C→A的化学方程式???????????。
4、填空题 (14分)下图所示物质(部分产物和反应条件未标出)中,只有A是单质,常温下B和 C呈气态,且B是导致酸雨的大气污染物,W是淡黄色固体。

据此回答下列问题:
(1)物质W中所含有的化学键类型为_________,其阴、阳离子个数比为_________。
(2)物质C的结构式为____________。
(3)上图反应中不属于氧化还原反应的有______________(填写序号)。
(4)写出A和X反应的化学方程式_____________;若生成的B在标准状况下的体积为? 22.4L,则反应中转移电子数目为_____________。
(5)请写出C和W反应的化学方程式:_______________。
(6)请写出X和Y反应的离子方程式:_________________。
5、填空题 如图中各物质均由短周期元素组成,其中只有D、F、G为单质,A为淡黄色固体,B为常见的无色液体,一定条件下D、G和海水为原料可制成海洋电池.按要求填空:
(1)写出电子式A______;?B______;
(2)写出化学方程式①______;②______;
(3)写出D、G和海水制成海洋电池的负极反应式______.