微信搜索关注"91考试网"公众号,领30元,获取公务员、事业编、教师等考试资料40G!
               
                  
                   
     
      
            1、选择题  在通常状况下37.0 g由气态烷烃组成的混合物完全燃烧消耗4.25 mol O2,此混合物可能组合的方式最多有[???? ]
A.3种 
B.4种 
C.5种
D.6种 
 
	参考答案:D
	本题解析:
	本题难度:一般
	        2、选择题  某有机物的结构简式为:

其不可能发生的反应有(  )
①加成反应 ②取代反应 ③消去反应 ④氧化反应 ⑤水解反应 
⑥与氢氧化钠的反应 ⑦与稀盐酸的反应
A.②③④
B.①④⑥
C.③⑤⑦
D.⑦
 
	参考答案:D
	本题解析:含有碳碳双键,能发生①加成反应,含有酚羟基、氯原子,能发生②取代反应,有氯原子,能发生③消去反应,能燃烧,能发生④氧化反应,含有酯基,能发生⑤水解反应,含有酚羟基,能⑥与氢氧化钠的反应,此有机物不能⑦与稀盐酸的反应,故选D 。
	本题难度:一般
	        3、填空题  某有机物完全燃烧生成标准状况下CO2的体积为6.72L,H2O的质量为7.2g ,
(1)若此有机物甲的质量为4.4g,则此有机物的结构简式是_________________________;
(2)若此有机物乙的质量为6g,则此有机物乙的分子式是________________________;
(3)若此有机物丙的质量为9.2g,且此有机物1mol能和金属钠反应生成1.5molH2,则丙和金属钠反应的方程式为是______________________________;
(4)等物质的量的此三种有机物完全燃烧,消耗氧气最少的是__________。(填甲、乙、丙) 
 
	参考答案:(1)CH3CH2CH3
(2)C3H8O3
(
	本题解析:
	本题难度:一般
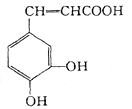
	        4、填空题  (7分)咖啡酸具有止血功效,存在于多种中药中,其结构简式如图:

(1)?写出咖啡酸中两种含氧官能团的名称:_________
(2)?根据咖啡酸的结构,列举三种咖啡酸可以发生的反应类型_______、_______、_______
(3)??蜂胶的分子式为C17H16O4,在一定条件下可水解生成咖啡酸和一种醇A,则醇A的分子式为_______
(4)?已知醇A含有苯环,且分子结构中无甲基,写出醇A在一定条件下与乙酸反应的化
学方程式_____________________
 
	参考答案:(1)羧基、羟基(1分,写错一个得0分)
(2)加成反
	本题解析:本题考查烃的衍生物的性质及有机反应类型。(1)从咖啡酸的结构简式可以知道,含氧官能团有羧基、羟基两种官能团。(2)从咖啡酸的结构简式可知,分子中存在三种官能团,碳碳双键可以发生加成反应、聚合反应(加聚反应)、还原反应,羧基可以发生酯化反应、取代反应、中和反应,羟基可能发生氧化反应。(3)C17H16O4水解时,与水结合成C17H18O5,再减去咖啡酸的分子式C9H8O4,就可得到醇A的分子式C8H10O。(4)由于已知醇A含有苯环,且分子结构中无甲基,则醇的结构简式为C6H5CH2CH2OH,与乙酸反应方程式为C6H5CH2CH2OH+CH3COOH CH3COOCH2CH2C6H5+H2O
CH3COOCH2CH2C6H5+H2O
	本题难度:一般
	        5、选择题  两种气态烃以任意比例混合,在105℃时1 L该混合烃与9 L氧气混合,充分燃烧后恢复到原状态,所得气体体积仍是10 L。下列各组混合烃中不符合此条件的是 [???? ]
A.CH4 C2H4
B.CH4 C3H6
C.C2H4 C3H4
D.C2H2 C3H6
 
	参考答案:BD
	本题解析:
	本题难度:一般