微信搜索关注"91考试网"公众号,领30元,获取公务员、事业编、教师等考试资料40G!
1、填空题 (5分)了解一些用药常识,有利于自我保健。现有下列药物:碳酸镁、青霉素、阿司匹林、氢氧化铝。
(1)其中属于解热镇痛的药物是__________。
(2)青霉素的作用是__________。
(3)药片常用淀粉作为黏合剂,淀粉水解的最终产物是__________。
(4)碳酸镁可治疗胃酸过多的原理是__________(用离子方程式表示)。
参考答案:(1)阿司匹林?(2)抗菌、消炎??(3)葡萄糖
(4
本题解析:具有解热镇痛的药物是阿司匹林;青霉素的作用是抗菌、消炎;淀粉属于多糖,水解的最终产物是葡萄糖;碳酸镁属于碳酸盐,能和酸反应生成CO2和镁盐,方程式为MgCO3 +2H+ = Mg2++ CO2↑+ H2O。
本题难度:简单
2、选择题 化学与能源开发、环境保护、生产生活密切相关。下列说法中正确的是
A.天然气、石油、潮汐、风力为二次能源
B.大量开采地下水,以满足社会对水的需求
C.日常生活中无水乙醇常用于杀菌消毒
D.水华、赤潮等水体污染主要是由含氮、磷的生活污水任意排放造成的
参考答案:D
本题解析:
试题分析:A、可以直接作为能源利用的是一次能源,需要将一次能源转化加工再利用的是二次能源,因此天然气、石油、潮汐、风力等均为一次能源,A不正确;B、地下化的蕴藏量是有限的,大量开采地下水,会引起水资源匮乏,不利于人类生活的发展,B不正确;C、75%的酒精可用作杀菌消毒,而不是无水乙醇,C不正确;D、水华、赤潮等水体污染主要是由含氮、磷的生活污水任意排放造成水中藻类植物疯涨而引起的,D正确,答案选D。
本题难度:一般
3、选择题 把氢氧化钠溶液和硫酸铜溶液加入某病人的尿液中,微热时如果观察到有红色沉淀,说明尿液中含有?
参考答案:D
本题解析:略
本题难度:简单
4、选择题 化学与生活息息相关。下列叙述正确的是
A.鲜榨橙汁遇到碘水会变蓝
B.馒头越嚼越甜
C.油脂经水解可变成葡萄糖
D.土豆中的淀粉经水解可变成酒
参考答案:B
本题解析:碘和淀粉才能发生显色反应,鲜榨橙汁只有含有维生素,A不正确.油脂水解生成高级脂肪酸和甘油,C不正确.淀粉水解只能生成葡萄糖,葡萄糖在分解才能生成酒精,D不正确.所以正确的答案是B.
本题难度:简单
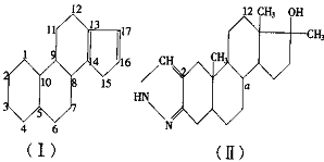
5、填空题 运动员使用兴奋剂是奥林匹克运动的灾难。合成类固醇是奥运会医学委员会
于1984年公布的违禁药物之一。从结构上看,类固醇是一类含有环戊烷多氢菲核(如I式)基本结构的化合物。这类药物之一的
-烷基化睾酮衍生物如康力龙(其结构简式如II式),由于其分子中
-碳上烷基的作用,此种药物具有对肝功能明显的损害作用,甚至有引起肝癌的毒副作用,因此属违禁药物。

(1)康力龙分子中共有????????个碳原子。
(2)用I式中给碳位编号的方法给II式碳原子定位,其中
位的编号是?????????。
(3)已知I式能使溴水褪色,则其可能产物的结构简式为(未参加反应部位的碳环略去不写,但反应部位的碳环上碳位编号至少要标上两处)??????????????。
参考答案:(1)21;
(2)8;
(3)
![]()
本题解析:本题借奥林匹克运动的违禁药物“合成类固醇”考查学生的分析推理能力,迁移运用基础知识于新情景中的联想思维品质。
(1)通过I式中碳原子的编号,可观察得II式的分子结构多了三个-CH3,并在2号C上双键连接了一个碳原子,可得出康力龙分子中共有21个碳原子;
(2)按照I式编号原则,逆时针旋转得
位编号为8
本题难度:简单