微信搜索关注"91考试网"公众号,领30元,获取公务员、事业编、教师等考试资料40G!
1、选择题 两种气态烃组成的混合气体完全燃烧后所得到CO2和H2O的物质的量随混合烃总物质的量的变化如右图所示。下列有关混合气体的说法错误的是

A.该混合气体中一定含有乙烯
B.该混合气体中一定有甲烷
C.组成该混合气体的烃分子所含氢原子数均为4
D.若混合气体由CH4和C2H4组成,则其体积比为2∶3
参考答案:A
本题解析:从图像分析,1mol混合物,只能产生1.6mol CO2,所以肯定有一种有机物所含碳要小于1.6,即为1,则只能为甲烷,B项正确。混合烃的总物质的量为1mol、2mol或3mol时,产生的H2O分别为2mol、4mol和6mol,即折算成1mol 混合物中所含的H均为4mol,而混合烃中各自的量是未知,所以含H均为4,C正确。D项,设CH4为x mol,C2H4为y mol。x+y=1,x + 2y=1.6(碳守恒),得y=0.6mol,x=0.4mol,物质的量比为0.4:0.6=2:3,正确。含四个氢
本题难度:简单
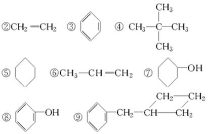
2、填空题 在下列化合物
中
(1)属于环状化合物的 91EXAM.org有________,
(2)属于脂环化合物的有________,
(3)属于芳香化合物的有________,
(4)属于脂肪烃的有________。
参考答案:(1)③⑤⑦⑧⑨???(2)⑤⑦???(3)③⑧⑨??? (
本题解析:有机化合物可分为链状化合物和环状化合物,据此可知①②④⑥为链状化合物,③⑤⑦⑧⑨属于环状化合物;环状化合物包括脂环化合物(分子中没有苯环)和芳香化合物(分子中有苯环),故⑤⑦为脂环化合物,③⑧⑨为芳香化合物。将链状烃称为脂肪烃,包括①②④⑥。
本题难度:一般
3、选择题 有下列物质:①氯气 ②硝酸 ③溴水 ④烧碱 ⑤氧气 ⑥酸性高锰酸钾,其中一定条件下可与甲烷发生化学反应的是
A.①②③
B.④⑤⑥
C.①⑤
D.②③④⑥
参考答案:C
本题解析:
试题分析:氯气在光照的条件下与甲烷发生了取代反应;硝酸不与甲烷反应;溴水不与甲烷反应,烧碱不与甲烷反应,甲烷可以在氧气中燃烧生成二氧化碳和水,酸性高锰酸钾不可以与甲烷发生反应,故本题的答案选择C。
点评:本题考查了有机反应,属于对化学基础知识的考查,本题有利于考查学生对基础知识的掌握情况,该题比较容易。
本题难度:一般
4、选择题 下列物质中既属于芳香族化合物又属于醇的是(? )

参考答案:B
本题解析:
试题分析:芳香族化合物必须含有苯环;属于醇则必须含羟基且不与苯环直接相连。
本题难度:一般
5、选择题 下列是四种烷烃分子的结构模型图,其中沸点最高的是(????)
????
???????
?????
A???????????????? B?????????????????? C???????????????????????D
参考答案:D
本题解析:烷烃分子的沸点随碳原子数的增加,沸点逐渐升高,对于碳原子数相同的烷烃,支链越多,沸点越低。所以根据模型可知,D的沸点最高。答案选D。
本题难度:一般