高考省级导航

全国 A安徽 B北京 C重庆 F福建 G广东 广西 甘肃 贵州 H河南 河北 湖南 湖北 黑龙江 海南 J江苏 江西 吉林 L辽宁 N内蒙古 宁夏 Q青海 S山东 山西 陕西 四川 上海 T天津
     X新疆 西藏 Y云南 Z浙江

高考化学高频试题、高中化学题库汇总-压中真题已成为一种习惯

化学基本概念: 物质的组成、性质和分类 化学用语 化学常用计量 溶液和胶体 离子反应 氧化还原反应 化学基本理论: 物质结构和元素周期律 化学反应与能量 化学反应速率和化学平衡 电解质溶液 电化学 常见无机物及其应用: 金属及其化合物 非金属及其化合物 无机综合与推断 物质结构与性质: 原子结构与元素性质 化学键与物质的性质 分子间作用力与物质的性质 有机化合物及其应用: 有机化合物的组成与结构 烃的衍生物 生活中的有机物 高分子化合物 有机合成与推断 化学与生活和技术: 化学与健康 化学与材料的制造、应用 化学与环境保护 化学与资源开发利用 化学与工农业生产 化学实验: 化学实验基础知识 物质的分离、提纯和检验 物质的制备、收集和净化 定量实验 实验方案的设计与评价 化学计算: 溶液浓度计算 pH计算 反应热计算 氧化还原、电化学的计算 反应速率与平衡的有关计算 晶体计算 有机物燃烧规律的计算 认识化学学科: 化学学科的特点 化学史 绿色化学

高考化学知识点总结《酯》考点预测(2017年强化版)(三)
2017-03-02 22:33:06 来源:91考试网 作者:www.91exam.org 【
微信搜索关注"91考试网"公众号,领30元,获取公务员、事业编、教师等考试资料40G!

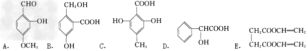
1、填空题  下列有机化合物中都含有多个官能团:

(1)可以看作醇类的是__________?(填编号,下同);
(2)可以看作酚类的是_________;
(3)可以看作羧酸类的是_________;
(4)可以看作酯类的是_________。



2、选择题  从甜橙的芳香油中可分离得到如下结构的化合物:

现在试剂:①KMnO4酸性溶液;②H2/Ni;③Ag( NH3)2OH;④新制Cu( OH)2,能与该化合物中所有官能团都发生反应的试剂有
A.①②
B.②③
C.③④
D.①④



3、选择题  下列叙述错误的是
[? ]
A.淀粉、油脂、蛋白质都能水解,但水解产物不同
B.乙醇、乙酸、乙酸乙酯都能发生取代反应,乙酸乙酯中的少量乙酸可用饱和Na2CO3溶液除去
C.乙烯和苯都能使溴水褪色,褪色的原因相同
D.煤油可由石油分馏获得,可用作燃料和保存少量金属钠



4、填空题  I.乙烯是石油裂解气的主要成分,它的产量通常用来衡量一个国家的石油化工水平。请回答下列问题。
(1)乙烯的结构简式为____________。
(2)下列物质中,不可以通过乙烯加成反应得到的是______(填序号)。
A.CH3CH3
B.CH3CHCl2
C.CH3CH2OH
D.CH3CH2Br

(3)已知 2CH3CHO+O2?2CH3COOH。若以乙烯为主要原料合成乙酸,其合成路线如下图所示。

反应②的化学方程式为____________________________________。
工业上以乙烯为原料可以生产一种重要的合成有机高分子化合物,其反应的化学方程式为____________________________________,反应类型是__________________。
II.在实验室可以用如下图所示的装置制取乙酸乙酯,请回答下列问题。

(1)乙醇、乙酸分子中官能团的名称分别是_________、_________。
(2)试管a中发生反应的化学方程式为
_____________________________________________,
反应类型是______________。
(3)浓H2SO4的作用是:__________________________。
反应开始前,试管b中盛放的溶液是____________。
该溶液的作用是?
___________________________________________________________________________________。



5、填空题  (本题共10分)有机物M(C15H16O8)在酸性溶液中水解得A、B、C三种物质,A在170 ℃与浓硫酸混合加热,可得到一种具有催熟果实作用的气体D,A在一定条件也可以氧化成C。请回答下列问题:
(1) 300多年前,著名化学家波义耳发现了铁盐与B的显色反应,并由此发明了蓝黑墨水。用B制造墨水主要利用了?类化合物的性质。(填代号)
A.醇? B.酚? C.酯? D.羧酸?
(2) M与NaOH反应的方程式是?。 ?
(3) B与丙醇反应得到的酯具有抗氧化作用,是目前广泛应用的食品添加剂.其结构简式为?;C的同分异构体有(包括C)?种。
(4)写出由A生成D的化学反应方程式:?



Tags:高考 化学 题库 知识点 汇总 高中
】【打印繁体】 【关闭】 【返回顶部
下一篇高考化学知识点归纳《与量有关的..

网站客服QQ: 960335752 - 14613519 - 791315772