微信搜索关注"91考试网"公众号,领30元,获取公务员、事业编、教师等考试资料40G!
1、选择题 下列物质中不属于烃的衍生物的是( )
A.链式炔碳

B.尿素CO?(NH2)2
C.四氯化碳CCl4
D.草酸HOOC-COOH
参考答案:A.链式炔碳只含C元素,不属于烃的衍生物,故A选;
B.尿素除C、H之外还含有N、O元素,属于烃的衍生物,故B不选;
C.四氯化碳含有Cl元素,属于烃的衍生物,故C不选;
D.草酸C、H之外还含有O元素,属于烃的衍生物,故D不选.
故选A.
本题解析:
本题难度:简单
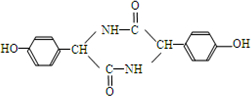
2、简答题 有机物A为绿色荧光蛋白在一定条件下水解的最终产物之一,结构简式为:

请回答下列问题:
(1)A的分子式为______.
(2)A与氢氧化钠溶液反应的化学方程式为______.
(3)两个氨基乙酸分子

在一定条件下反应可生成

两个A分子在一定条件下生成的化合物结构简式为______.
(4)符合下列4个条件的同分异构体有6种,写出其中三种______.
①1,3,5-三取代苯
②遇氯化铁溶液发生显色反应
③氨基与苯环直接相连
④属于酯类.
参考答案:(1)A含有C、H、O、N等元素,根据结构简式,可写出分子式为C9H11NO3,故答案为:C9H11NO3;
(2)A中含有-COOH和酚羟基,都具有酸性,能与NaOH反应,反应的化学方程式为

,
故答案为:

;
(3)-NH2和-COOH可发生缩合反应形成肽键,为环状化合物,生成物的结构简式为

,
故答案为:

;
(4)①1,3,5-三取代苯,说明含有三个取代基,且都位于间位;
②遇氯化铁溶液发生显色反应,说明苯环上连接-OH;
④属于酯类,说明含有-COO-官能团,为酯类化合物.
符合条件的化合物有:

,
故答案为:

.
本题解析:
本题难度:一般
3、选择题 绿色农药-信息素的推广使用,对环保有重要意义。有一种信息素的结构简式为
CH3(CH2)5CH=CH(CH2)9CHO。下列关于检验该信息素中官能团的试剂和顺序正确的是
[? ]
A.先加入酸性高锰酸钾溶液检验碳碳双键,后加银氨溶液并微热检验醛基
B.先加入溴水检验碳碳双键,再用新制氢氧化铜悬浊液检验醛基
C.先用银氨溶液检验醛基,再用氢气/催化剂检验碳碳双键
D.先用新制氢氧化铜悬浊液检验醛基,再用溴水检验碳碳双键
参考答案:D
本题解析:
本题难度:一般
4、填空题 烃A是一种重要的基本化工原料,用质谱法测得其相对分子质量为28.如图1是以A为原料合成药物中间体E和树脂K的路线.
已知如图2:

(1)A中官能团的结构简式是______.有机物B的名称______.
(2)B→C的化学方程式为______.B和氢氧化钠的水溶液加热反应所得到的有机产物和乙二酸反应生成高分子化合物,写出生成高分子化合物反应的化学方程式______.
(3)E的分子式为C4H8O.下列关于E的说法正确的是______(填字母序号).
a.能与金属钠反应?b.分子中4个碳原子一定共平面
c.一定条件下,能与浓氢溴酸反应?d.与CH2=CHCH2OCH2CH3互为同系物
(4)G→H涉及到的反应类型有______.
(5)I的分子式为C4H6O2,其结构简式为______.
(6)J→K的化学方程式为______.
(7)写出与E具有相同官能团的所有同分异构体的结构简式:______(不考虑顺反异构,不考虑-OH连在双键碳上的结构).
参考答案:烃A的相对分子质量为28,故A应为CH2=CH2,与溴发生加成反应生成B,B为BrCH2CH2Br,在氢氧化钠醇溶液,加热条件下发生消去反应生成C,结合信息Ⅰ可知C为CH2=CHBr,D为CH2=CHMgBr,E为CH2=CHCH2CH2OH,A和水发生加成反应生成F为CH3CH2OH ,F催化氧化生成G,故G为CH3CHO,由信息Ⅱ可知H为CH3CH=CHCHO,H催化氧化生成I,I为CH3CH=CHCOOH,与甲醇发生酯化反应生成J,故J为CH3CH=CHCOOCH3,J发生加聚反应生成高分子化合物K,故K为

,
(1)由以上分析可知A为CH2=CH2,有机物B为BrCH2CH2Br,含有官能团为溴原子,故答案为:CH2=CH2;溴原子;
(2)B为BrCH2CH2Br,C为CH2=CHBr,B生成C的方程式为:BrCH2CH2Br+NaOH醇
本题解析:
本题难度:一般
5、选择题 聚乙炔是一种导电聚合物,其结构简式为[CH=CH],当聚乙炔分子带上药物、氨基酸、糖基等分子片后,就具有一定的生物活性.以下是我国化学家近年来合成的一些聚乙炔衍生物分子的结构:(Me指甲基)
下列关于上述高分子的说法不正确的是( )
A.A和B均能在一定条件下水解,且完全水解后形成的高分子具有相同的链节
B.B分子水解后生成的氨基酸属于α-氨基酸
C.A水解后生成的小分子羧酸的分子式为C14H18O3
D.A和B各1mol与热碱液充分反应,均最多消耗2nmolNaOH