微信搜索关注"91考试网"公众号,领30元,获取公务员、事业编、教师等考试资料40G!
1、填空题 (18分)下面是某同学研究氯气性质过程中的一个片断。请你帮助他完成部分实验并补全实验记录。
[观察]氯气的颜色、状态:?色?状态;闻氯气的气味:?气味。
[预测]氯气是一种非金属单质,它可能具有性质有?。
从元素化合价的角度分析,它可能具有性质有?。
[实验探究]

[实验结论]
(1)通过比较氯气和曾经学习过的氧气等非金属单质的性质,可推知氯气的化学性?,能与?反应。
(2)在上述过程中,该同学都用到了哪些研究物质性质的方法?
?。
(3)说明闻气体气味的方法。?。
参考答案:

本题解析:略
本题难度:一般
2、填空题 水是生命之源。饮用水消毒作为控制水质的一个重要环节,液氯消毒是最早的饮用水消毒方法。近年来科学家提出,氯气能与水中的有机物发生反应,生成的有机氯化物可能对人体有害。二氧化氯(ClO2)是一种在水处理等方面有广泛应用的高效安全消毒剂。与Cl2相比,ClO2不但具有更显著地杀菌能力,而且不会产生对人体有潜在危害的有机氯代物。
(1)氯气溶于水能杀菌消毒的原因是?。
(2)在ClO2的制备方法中,有下列两种制备方法:
方法一:NaClO3+4HCl=2ClO2↑+Cl2↑+2NaCl+2H2O
方法二:C6H12O6+24NaClO3+12H2SO4=24ClO2↑+6CO2↑+18H2O+12Na2SO4
用方法二制备的ClO2更适合用于饮用水的消毒,其主要原因是?。
(3)用ClO2处理过的饮用水(pH为5.5~6.5)常含有一定量对人体不利的亚氯酸根离子(ClO2-).2001年我国卫生部规定,饮用水ClO2-的含量应不超过0.2 mg·L-1。
饮用水中ClO2、ClO2-的含量可用连续碘量法进行测定。ClO2被I-还原为ClO2-、Cl-的转化率与溶液pH的关系如图所示。当pH≤2.0时,ClO2-也能被I-完全还原成Cl-。反应生成的I2用标准Na2S2O3溶液滴定:2Na2S2O3+I2=Na2S4O6+2NaI

①请写出pH≤2.0时,ClO2-与I-反应的离子方程式??。
②配制Na2S2O3标准溶液时,使用的仪器除天平、药匙、玻璃棒、烧杯、量简外,还需要下图中的?(填字母代号)。
?
?
?
?
a? b? c? d? e
③请完成相应的实验步骤:
步骤1:准确量取VmL水样加入到锥形瓶中。
步骤2:调节水样的pH为7.0~8.0
步骤3:加入足量的KI晶体。
步骤4:加少量淀粉溶液,用c mol·L-1Na2S2O3溶液滴定至终点,消耗Na2S2O3溶液V1mL。
步骤5:调节溶液的pH≤2.0。
步骤6;再用c mol·L-1Na2S2O3溶液滴定至终点,消耗Na2S2O3溶液V2mL。
④滴定终点的现象是?。
⑤根据上述分析数据,测得该引用水样中的ClO2-的浓度为?mg·L-1(用含字母的代数式表示)。
(4)判断下列操作对ClO2-的浓度测定结果的影响(填“偏高”、“偏低”或“无影响”)
① 若在配制标准溶液过程中,烧杯中的Na2S2O3溶液有少量溅出,使测定结果?。
② 若在滴定终点读取滴定管刻度时,俯视标准液液面,使测定结果?。
参考答案:(1)生成的HClO具有强氧化性,可以杀菌(2分)
(2)方法二制备的ClO2中不含Cl2(2分)
(3)①ClO2-+4H++4I-=Cl-+2I2+2H2O(2分)
②a? c(2分)
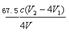
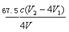
③(溶液由蓝色变为无色,(2分)⑤
×103(2分)
(4)①偏高?(2分)?②偏低(2分)
本题解析:(1)氯气的自来水消毒属于氢氧化性消毒,因此原理是氯气与水反应生成的HClO有强氧化性,起到杀菌消毒作用。
(2)根据题干中的介绍,氯气用于自来水消毒容易生成对人体有害的有机氯代物,所以方法二中产生的ClO2气体中不含氯气,因此制得的二氧化氯更加的安全。
(3) ①从本题题干和图像中得知,溶液pH≤2.0时,ClO2-被I- 还原为Cl- ,因此反应的离子方程式为ClO2-+4H++4I-=Cl-+2I2+2H2O,要注意酸性环境。
②一定浓度溶液的配制需要使用的仪器主要的还有容量瓶、胶头滴管,故选ac。④待滴定溶液中含有碘单质,因此与淀粉作用显蓝色,所以加入Na2S2O3 与单质碘反应,当碘反应完的时候,溶液不显蓝色,故描述时要注意规范表达。
⑤本小题计算稍微有些复杂,首先要了解整个滴定的过程:含有ClO2、ClO2- 的水,碱性下加KI溶液把ClO2 反应为ClO2- ,生成的碘单质用标准液滴定;得到的总的ClO2- 再在酸性条件下与KI反应,又生成一部分碘单质,再用标准液滴定。因此整个过程分为两个阶段。
第一步滴定(生成了一部分ClO2- ):2ClO2+2I-= 2ClO2- +? I2
2Na2S2O3?+ I2?=Na2S4O6+2NaI
cV1?0.5cV1? cV1? 0.5cV1
第二步滴定(反应总的ClO2- )ClO2-+ 4H++4I-=Cl-+ 2I2 +2H2O
2Na2S2O3+I2?=? Na2S4O6+2NaI
0.25cV2? 0.5cV2?cV2 ?0.5cV2
引用水样中的ClO2-的浓度等于总的ClO2-减去第一步滴定产生的ClO2- ,因此有:
C(ClO2-)=n总(ClO2-)—n(ClO2-)/V=0.25cV2—cV1 /V,要注意化成质量浓度,所以C(ClO2-)=
×103 mg·L-1 。
(4)①滴定过程中若有标准液溅出损失,则从滴定管上读出的标准液体积偏高,所以计算得到的浓度结果会偏大。
②若在滴定终点读取标准液体积时,俯视读数,则读出的标准液体积会偏小,所以计算得到的浓度会偏低。
本题难度:困难
3、选择题 近年来我国多次发生氯气泄漏事故,当大量氯气泄漏时,下列应对措施不正确的是( )
A.附近人员戴上用烧碱溶液浸湿的口罩躲到低洼处的水塘边
B.附近人员用湿毛巾捂住口鼻,沿上风方向向高处转移
C.消防人员先戴上防毒面具再进入现场
D.消防人员向氯气泄漏处洒烧碱溶液
参考答案:A.氯气的密度大于空气密度,所以氯气泄漏时,要人群向高处疏散,氯气能和碱反应生成盐,但氢氧化钠有强腐蚀性,如果用浸有烧碱溶液的毛巾捂住口鼻,虽然能减弱氯气的毒性,但人易被氢氧化钠腐蚀,故A错误;
B.氯气能溶于水,其密度大于空气密度,所以氯气泄漏时,用湿毛巾捂住口鼻向高处疏散,故B正确;
C.氯气有毒,消防人员先戴上防毒面具再进入现场,可防止中毒,故C正确;
D.因为氯气跟氢氧化钠溶液反应生成次氯酸钠(NaClO)、氯化钠和水,生成了无毒的物质,故D正确;
故选A.
本题解析:
本题难度:一般
4、选择题 已知气体的相对分子质量越小,扩散速度越快。浓硫酸没有挥发性,浓氨水和浓盐酸都具有很强的挥发性,浓氨水会挥发出氨气,浓盐酸会挥发出氯化氢。下图所示为气体扩散速度的试验,两种气体扩散相遇时形成白色烟环。下列关于物质甲、乙的判断正确的是?(?)。

A.甲是浓氨水,乙是浓硫酸
B.甲是浓盐酸,乙是浓氨水
C.甲是浓氨水,乙是浓盐酸
D.甲是浓硫酸,乙是浓氨水
参考答案:C
本题解析:根据白烟的位置可知,甲的相对分子质量小于乙的相对分子质量,据此可知选项C正确,B不正确。浓硫酸是难挥发性酸,AD不正确,答案选C。
点评:该题主要是考查学生对已知信息的提炼、归纳、总结和应用的能力,有利于培养学生的创新思维能力和应试能力,提高学生灵活运用基础知识解决实际问题的能力。
本题难度:一般
5、选择题 某溶液中含有SO32-、SiO32-、Br-、CO32-、Na+,向该溶液中通入过量的Cl2,下列判断正确的是( )
①反应前后,溶液中离子浓度基本保持不变的只有Na+? ②有沉淀生成? ③有气体产生④溶液颜色发生变化?
⑤溶液中共发生了3个氧化还原反应.
A.①③⑤
B.①②③④
C.②④⑤
D.①②③④⑤
参考答案:某溶液中含有SO32-、SiO32-、Br-、CO32-、Na+,向该溶液中通入过量的Cl2,SO32-可以被氯气氧化为硫酸根离子;SiO32-和氯水中的盐酸反应生成硅酸沉淀;Br-被氯气氧化为溴单质;CO32-和氯水中的盐酸反应生成二氧化碳气体;
①反应前后,溶液中离子浓度基本保持不变的有Na+,故①正确;
②有胶状物质硅酸生成,故②正确;
③有二氧化碳气体产生,故③正确;
④氯气氧化溴离子为溴单质,溶液颜色发生变化有无色变化为橙红色,故④正确;
⑤共发生了氯气与水反应、氧化SO32-、Br-3个氧化还原反应.故⑤正确;
故选D.
本题解析:
本题难度:一般