微信搜索关注"91考试网"公众号,领30元,获取公务员、事业编、教师等考试资料40G!
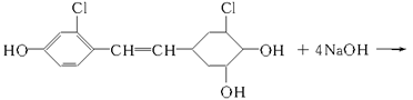
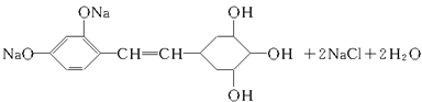
1、填空题 下面是合成
的流程图示:
(另有Na2SO4和水生成)


(1)写出五种物质中有机物的结构简式:
A__________;B__________;C__________;D__________;E__________。
(2)写出生成B和C的反应方程式__________________________________________________。
参考答案:(1)
?

本题解析:本题可用逆向推断法,由
,知E为
,由D
E(
)推知D为
,推知C为
,由
。联系A
B,推知B为
,由A
B及另外产物Na2SO4、H2O。推知A为
。
本题难度:简单
2、选择题 某有机物的结构简式如下:
,1 mol此物质与浓溴水反应,最多耗Br2 m mol,在一定条件,1 mol此物质与NaOH反应,最多消耗NaOH n mol。则m、n分别为(?)
A.3,1
B.3,3
C.3,4
D.4,4
参考答案:C
本题解析:要注意此有机物结构特征:前面部分为芳香环,后面部分为脂肪环。该物质与浓溴水反应:

与NaOH反应:


本题难度:简单
3、选择题 由—C6H5、—C6H4—、—CH2—、—OH四种原子团(各1个)一起组成属于酚类物质的种类有(?)
A.1种
B.2种
C.3种
D.4种
参考答案:C
本题解析:本题解题思路是在充分理解酚的概念的同时,掌握四种原子团连结方式。一价基团苯基—C6H5,羟基—OH,只能处在两端。二价基团亚苯基—C6H4—,亚甲基—CH2—,应处于链中。由此可写出两种基本方式:
(1)
(2)
(1)式为芳香醇类,醇类不合题意,不讨论。
(2)式为酚类,变换羟基的位置,还可写出两种异构体:

所以属于酚类物质的共有3种。
本题难度:一般
4、选择题 绿原酸是一种有降压作用的药物,可由咖啡酸(一种芳香酸)与奎尼酸通过酯化反应合成。下列说法正确的是

A.奎尼酸分子式为C7H12O6
B.绿原酸能发生取代、加成、消去和缩聚反应
C.1mol奎尼酸与NaOH溶液反应,最多消耗5molNaOH
D.咖啡酸和奎尼酸都能与FeCl3溶液发生显色反应
参考答案:AB
本题解析:奎尼酸分子式为C7H12O6,苯环上发生取代,加成,醇可以消去,羟基和羧基可以缩聚反应,AB正确。1mol奎尼酸与NaOH溶液反应,最多消耗3molNaOH,醇羟基不和强碱反应。咖啡酸能与FeCl3溶液发生显色反应,奎尼酸中没有苯酚结构,不可以。CD错误 。
本题难度:简单
5、选择题 化学反应经常伴随着颜色变化,对下列有关反应的颜色叙述正确的是
[? ]
①淀粉溶液遇单质碘→蓝色 ②溴化银见光分解→白色 ③热的氧化铜遇乙醇→黑色
④新制氯水久置后→无色 ⑤苯酚在空气中氧化→粉红色
A、②③⑤
B、①④⑤
C、①②④
D、②④⑤
参考答案:B
本题解析:
本题难度:简单