微信搜索关注"91考试网"公众号,领30元,获取公务员、事业编、教师等考试资料40G!
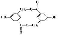
1、填空题 A、B、C、D均为含苯环的化合物,且式量B>A>C,已知有机物A的结构简式为
?
(1)A既能与NaOH溶液反应,又能与NaHCO3溶液反应,写出A和NaHCO3溶液反应的化学方程式
_____________________。
(2)有机物B在浓H2SO4存在下,相互作用生成一种环状酯,如图则有机物B的结构简式为
_____________,等物质的量B与Na、NaOH、NaHCO3充分反应,消耗Na、NaOH、NaHCO3的物质的量之比为_____________。

(3)1mol A、C完全燃烧,消耗O2的质量相等,且1mol C能和1mol Na完全反应,写出含碳原子数最少的C的结构简式_____________。
(4)D和B互为同分异构体,且苯环上的一氯代物只有两种,D不与NaHCO3反应,能与Na、NaOH反应,等质量的D消耗Na、NaOH的物质的量之比为2:3,则D的结构简式为:_____________或_____________。
参考答案:(1)
(2)
;3:2:1
(3)
(4)
;
本题解析:
本题难度:一般
2、选择题 举办“人文奥运”的一个重要体现就是禁止运动员服用兴奋剂。有一种兴奋剂的结构简式如下图,下列有关该物质的说法正确的是( ? )

A.该分子中所有碳原子可以稳定的共存在一个平面中
B.1mol该物质与浓溴水和H2反应时,最多消耗Br2和H2的物质的量分别为4mol、7m
ol
C.遇FeCl3溶液显紫色,因为该物质与苯酚属于同系物
D.滴入酸性KMnO4溶液,观察到紫色褪去,可证明分子中存在双键
参考答案:B
本题解析:
本题难度:一般
3、选择题 下列物质中一定与苯酚互为同系物
的是
A.
B.
C.
D.C7H8O
参考答案:A
本题解析:略
本题难度:一般
4、选择题 有一种叫苯酚的有机物,其试剂瓶上有如下标识,此标识的含义是( )
A.自燃物、腐蚀性
B.腐蚀性、有毒
C.爆炸性、腐蚀性
D.氧化剂、有毒

参考答案:B
本题解析:
本题难度:一般
5、选择题 下列说法正确的是( )
A.能发生银镜反应的有机物都属于醛类
B.苯酚沾在皮肤上应立即用浓NaOH溶液冲洗
C.烃基跟羟基直接相连的有机物都属于醇类
D.皂化反应在碱性条件下进行
参考答案:D
本题解析:
本题难度:一般