微信搜索关注"91考试网"公众号,领30元,获取公务员、事业编、教师等考试资料40G!
1、填空题 氧化还原反应中实际上包含氧化和还原两个过程,下面是一个还原过程的半反应式:
2NO3-+10H++8e-
N2O+5H2O?
Fe2(SO4)3、KMnO4、Na2CO3、FeSO4四种物质中的一种物质能使上述还原过程发生。
(1)写了并配平该氧化还原反应的化学方程式:____________________。
(2)该反应中氧化剂和还原剂物质的量之比为______________________。
(3)反应中硝酸体现了__________ 、___________ 性质。
(4)反应中若产生0.1mol气体(N2O),则转移电子的物质的量是_______________________。
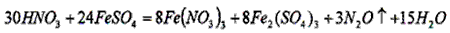
参考答案:(1)
(2)1:4
(3)酸性;氧化性
(4)0.8mol
本题解析:
本题难度:一般
2、选择题 将二氧化硫通入溴水中发生如下的反应:SO2+Br2+2H2O===2HBr+H2SO4,反应中转移的电子数和还原剂是
[? ]
A.2e-,H2SO4?
B.4e-,SO2
C.2e-,Br2?
D.2e-,SO2
参考答案:D
本题解析:
本题难度:简单
3、选择题 自由基生物学将衰老和癌症称作自由基病。很多研究发现,许多天然食物对预防这些疾病有很好的效 果,如大豆、橄榄、花生、荠菜等,原因是这些食物中含有较多的抗氧化剂,可以消除人体内的氧化性自由基。这是利用了抗氧化剂的
[? ]
A.氧化性
B.还原性
C.酸性
D.碱性
参考答案:B
本题解析:
本题难度:简单
4、选择题 氧化还原反应中,水的作用可以是氧化剂、还原剂、既是氧化剂又是还原剂、既非氧化剂又非还原剂等。下列反应与Br2+SO2+2H2O=H2SO4+2HBr相比较,水的作用不相同的是
[? ]
A.2Na2O2+2H2O=4NaOH+O2↑
B.4Fe(OH)2+O2+2H2O=4Fe(OH)3
C.4NO2+O2+2H2O=4HNO3
D.2Al+2NaOH+2H2O=2NaAlO2+3H2↑
参考答案:D
本题解析:
本题难度:简单
5、选择题 已知6FeSO4+2KNO3+4H2SO4=K2SO4+3Fe2(SO4)3+2NO↑+4H2O,下列判断正确的是
[? ]
A.上述反应中KNO3是还原剂
B.反应中H2SO4是氧化剂
C.上述反应中Fe2+既体现了氧化性又体现了还原性
D.当产生0.1molNO时,则上述反应转移电子的物质的量为0.3mol
参考答案:D
本题解析:
本题难度:简单