微信搜索关注"91考试网"公众号,领30元,获取公务员、事业编、教师等考试资料40G!
1、选择题 如图所示操作正确的是?

A.只有②
B.②③
C.③④
D.②③④全部错误
参考答案:A
本题解析:分析:①过滤时,要注意一贴二低三靠的原则;
②根据碘易升华而氯化钠加热不挥发;
③根据浓硫酸的稀释方法进行分析判断;
④根据胶头滴管的使用方法.
解答:①过滤液体时,应通过玻璃棒引流,同时漏斗的下端紧靠烧杯内壁,故①错误;
②分离氯化钠和单质碘可用升华的方法,故②正确;
③稀释浓硫酸时,要把浓硫酸缓缓地沿器壁注入水中,同时用玻璃棒不断搅拌,以使热量及时地扩散;不能在量筒中稀释,故③错误;
④定容时胶头滴管在滴加液体时不能伸入容量瓶,故④错误;
故选A.
点评:本题难度不大,熟悉各种仪器的用途及使用注意事项、掌握常见化学实验基本操作的注意事项是解答此类试题的关键.
本题难度:一般
2、选择题 当氢气和和氦气的质量比为1∶4时,它们具有相同的
A.原子数
B.体积
C.质子数
D.中子数
参考答案:A
本题解析:氢气和氦气的摩尔质量分别是2g/mol和4g/mol,所以当氢气和和氦气的质量比为1∶4时,二者的物质的量之比是1∶2.应用氢气是由2个氢原子构成的,而氦气是由1个原子构成的,所以二者的原子数相等,选项A正确,答案选A。
本题难度:一般
3、填空题 某研究性学习小组用化学方法测量一个不规则容器的体积。把35.1 g NaCl放入500 mL烧杯中,加入150
mL蒸馏水。待NaCl完全溶解后,将溶液全部转移到容器中。用蒸馏水稀释至完全充满容器。从中取出溶液100 mL,该溶液恰好与20 mL 0.100 mol/L AgNO3溶液完全反应。则该容器的容积为_________。
参考答案:30L
本题解析:
本题难度:一般
4、选择题 实验室里需用480mL 0.1mol/L的硫酸铜溶液,现选取500mL容量瓶进行配制,以下设想合理的是( )
A.称取7.68g?CuSO4,配成480mL的溶液
B.称取12.0g?CuSO4?5H2O,配成480mL的溶液
C.称取8.0g?CuSO4,加入500mL水
D.称取12.5g?CuSO4?5H2O,配成500mL溶液
参考答案:A、由于容量瓶的规格没有480mL,所以选择500mL容量瓶,硫酸铜的质量为0.1mol?L-1×0.5L×160g/mol=8.0g,溶液的体积是500mL,不是480mL,故A错误;
B、由于容量瓶的规格没有480mL,所以选择500mL容量瓶,需要胆矾的质量为0.1mol?L-1×0.5L×250g/mol=12.5g,溶液的体积是500mL,不是480mL,故B错误;
C、由于容量瓶的规格没有480mL,所以选择500mL容量瓶,硫酸铜的质量为0.1mol?L-1×0.5L×160g/mol=8.0g,溶液的体积是500mL,不是溶剂的体积为500mL,故C错误;
D、由于容量瓶的规格没有480mL,所以选择500mL容量瓶,需要胆矾的质量为0.1mol?L-1×0.5L×250g/mol=12.5g,加水配成500mL溶液,故D正确.
故选D.
本题解析:
本题难度:一般
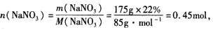
5、计算题 某温度下22%的NaNO3溶液150mL,加100g水稀释后浓度变成14%,求原150mL溶液中NaNO3的物质的量浓度。
参考答案:设原NaNO3溶液的质量为x。 根据加水前后NaNO3质量不变的规律,
得:x×22%=(x+100g)×14%, x=175g,
175g NaNO3溶液含NaNO3的物质的量为:
?
原150mL NaNO3溶液中NaNO3的物质的量浓度为:
?
本题解析:
本题难度:一般