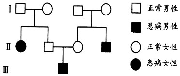
1、综合题 在一个与世隔绝的小岛上,地中海贫血症(单基因遗传病)具有较高的发病率,为确定该遗传病的遗传方式,研究人员对岛上若十个家庭进行了调查。在一个祖孙三代的家庭里,丈夫(甲)和妻子(乙)均表现正常。他们仅有的一个孩子为患有该病的男孩,甲的姐姐和乙的弟弟均为该病患者,而甲乙双方的父母均表现正常。请据此回答下列问题:
(1)请在下列空白方框中绘制出该家庭三代的遗传系谱图。

(2)根据对此家庭的调查结果初步推测,该遗传病的致病基因是位于____染色体上的____性基因。若用字母T、t表示这对基因,该家庭中甲和乙的基因型可依次表示为____。如果他们再生一个孩子,患有该病的概率约为____。通过进行遗传咨询和____等手段,可有效降低该遗传病的发生率。
(3)经调查,岛上每256个人中有1个人患此遗传病,则该岛人群中T基因的频率为____。选择此地进行调查的原因是____,有利于进行数据统计与分析。
2、连线题 下图是患甲病(显性基因为A,隐性基因为a)和乙病(显性基因为B,隐性基因为b)两种遗传病的系谱图,其中患乙病的男性与正常女性婚配后,从理论上讲所有女儿都是患者,所有儿子都正常。?

(1)甲病的遗传方式是_______。乙病的遗传方式是_______。
(2)Ⅱ4的基因型是_______。产生精子的基因型_______
(3)Ⅱ2与Ⅱ3结婚,生一个正常孩子的概率是______,生下只患一种病的孩子的概率是________,所生男孩中患病的概率是_______。
(4)若正常人群中,甲病的携带者出现的概率是1/100,若Ⅲ1与一正常女性结婚,生下患病男孩的概率是_______。
3、选择题 生物兴趣小组模拟赫尔希和蔡斯做了噬菌体侵染细菌实验,下列有关分析不正确的是

A.理论上,b中不应具有放射性
B.b中含放射性的高低,与②过程中搅拌是否充分有关
C.若b中含有放射性,说明与①过程中培养时间的长短有关
D.上述实验过程并不能证明DNA是遗传物质
4、连线题 如图是患甲病(显性基因为A,隐性基因为a)和乙病(显性基因为B,隐性基因为b)两种遗传病的系谱图。现已查明Ⅱ3不携带致病基因。据图回答下列问题:

(1)甲病是________染色体______性遗传病,乙病是_______染色体_________性遗传病。
(2)写出下列个体的基因型:Ⅲ9________,Ⅲ12____________。
(3)若Ⅲ9和Ⅲ12婚配,子女中只患甲或乙一种遗传病的概率为____;同时患两种遗传病的概率为_____。若Ⅲ9和Ⅲ12生了一个男孩,则该男孩正常的概率为_________。
(4)若Ⅲ9和一个正常男性婚配,如果你是医生,根据他们的家族病史,你会建议他们生一个_____(男/女)孩。
5、选择题 近亲结婚会增加后代遗传病的发病率,主要原因在于
[? ]
A.近亲结婚容易使后代产生新的致病基因
B.近亲结婚的双方携带的致病基因较其他人多
C.部分遗传病由显性致病基因所控制
D.近亲结婚的双方携带的相同的隐性致病基因机会较其他人多
答案及详细解析请点下一页查看。
[-page来源:www.91exam.org-]
1、综合题 在一个与世隔绝的小岛上,地中海贫血症(单基因遗传病)具有较高的发病率,为确定该遗传病的遗传方式,研究人员对岛上若十个家庭进行了调查。在一个祖孙三代的家庭里,丈夫(甲)和妻子(乙)均表现正常。他们仅有的一个孩子为患有该病的男孩,甲的姐姐和乙的弟弟均为该病患者,而甲乙双方的父母均表现正常。请据此回答下列问题:
(1)请在下列空白方框中绘制出该家庭三代的遗传系谱图。

(2)根据对此家庭的调查结果初步推测,该遗传病的致病基因是位于____染色体上的____性基因。若用字母T、t表示这对基因,该家庭中甲和乙的基因型可依次表示为____。如果他们再生一个孩子,患有该病的概率约为____。通过进行遗传咨询和____等手段,可有效降低该遗传病的发生率。
(3)经调查,岛上每256个人中有1个人患此遗传病,则该岛人群中T基因的频率为____。选择此地进行调查的原因是____,有利于进行数据统计与分析。
参考答案:(1)

(2)常? 隐? ?Tt、Tt? 1/4?产前诊断
(3)15/16? 岛上居民与外界基本无基因交流
本题解析:
本题难度:一般
2、连线题 下图是患甲病(显性基因为A,隐性基因为a)和乙病(显性基因为B,隐性基因为b)两种遗传病的系谱图,其中患乙病的男性与正常女性婚配后,从理论上讲所有女儿都是患者,所有儿子都正常。?

(1)甲病的遗传方式是_______。乙病的遗传方式是_______。
(2)Ⅱ4的基因型是_______。产生精子的基因型_______
(3)Ⅱ2与Ⅱ3结婚,生一个正常孩子的概率是______,生下只患一种病的孩子的概率是________,所生男孩中患病的概率是_______。
(4)若正常人群中,甲病的携带者出现的概率是1/100,若Ⅲ1与一正常女性结婚,生下患病男孩的概率是_______。
参考答案:(1)常染色体隐性遗传? ? ?X染色体显性遗传
(2)aaXbY? ?aY? aXb?
(3)1/6? 7/12? 2/3
(4)1/800
本题解析:
本题难度:一般
3、选择题 生物兴趣小组模拟赫尔希和蔡斯做了噬菌体侵染细菌实验,下列有关分析不正确的是

A.理论上,b中不应具有放射性
B.b中含放射性的高低,与②过程中搅拌是否充分有关
C.若b中含有放射性,说明与①过程中培养时间的长短有关
D.上述实验过程并不能证明DNA是遗传物质
参考答案:C
本题解析:试题分析:35S标记蛋白质外壳,经离心后蛋白质外壳较轻在上清液中,因此理论上b中不应具有放射性;若b中放射性可能原因是搅拌不充分,导致细菌跟蛋白质外壳没有完全分开;故A、B正确,C错误.
上述实验过程只能证明蛋白质不是遗传物质并不能证明DNA是遗传物质 D正确
考点: 噬菌体侵染细菌的过程。
点评:对于此类试题,学生应理解证明核酸是遗传物质的几个实验依据。
本题难度:简单
4、连线题 如图是患甲病(显性基因为A,隐性基因为a)和乙病(显性基因为B,隐性基因为b)两种遗传病的系谱图。现已查明Ⅱ3不携带致病基因。据图回答下列问题:

(1)甲病是________染色体______性遗传病,乙病是_______染色体_________性遗传病。
(2)写出下列个体的基因型:Ⅲ9________,Ⅲ12____________。
(3)若Ⅲ9和Ⅲ12婚配,子女中只患甲或乙一种遗传病的概率为____;同时患两种遗传病的概率为_____。若Ⅲ9和Ⅲ12生了一个男孩,则该男孩正常的概率为_________。
(4)若Ⅲ9和一个正常男性婚配,如果你是医生,根据他们的家族病史,你会建议他们生一个_____(男/女)孩。
参考答案:(1)常? 显? X? ?隐
(2)aaXBXB或aaXBXb? ?AAXBY或AaXBY
(3)5/8? 1/12? ?1/4
(4)女
本题解析:
本题难度:一般
5、选择题 近亲结婚会增加后代遗传病的发病率,主要原因在于
[? ]
A.近亲结婚容易使后代产生新的致病基因
B.近亲结婚的双方携带的致病基因较其他人多
C.部分遗传病由显性致病基因所控制
D.近亲结婚的双方携带的相同的隐性致病基因机会较其他人多
参考答案:D
本题解析:
本题难度:简单