微信搜索关注"91考试网"公众号,领30元,获取公务员、事业编、教师等考试资料40G!
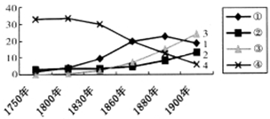
1、判断题 图中曲线代表四个国家:中国、美国、英国、德国。其中代表英国的是
世界工业生产的相对份额(1750—1900年)

A.①
B.②
C.③
D.④
2、判断题 1790年代的英国,学徒童工的使用达到了高峰,1870年,英国政府颁布的《初等教育法》规定:对5—12岁儿童实施强迫义务教育。19世纪末,儿童不再是劳动力市场中的一员。英国童工问题得以解决的根本原因是
A.政府对儿童权益的保护
B.工业无产阶级队伍的不断壮大
C.民主、人权的不断发展
D.生产技术对劳动者的要求更高
3、判断题 下表选自库钦斯基《资本主义世界经济史研究》一书。阅读下列数据信息,它主要反映的历史现象是

[? ]
A.资本主义世界市场基本形成
B.英国确立了“世界工厂”的地位
C.英国丧失了贸易中心地位
D.英国主导了两次工业革命
4、判断题 (12分)资本主义世界市场形成与发展的历史,也是不同文明之间相互冲突的历史。对此,马克思和斯塔夫里阿诺斯有着不同的观点。马克思在《不列颠在印度统治的未来结果》中认为,在文明的交汇中只有一种结果,就是“先进文明对落后文明的征服和消灭”。而斯塔夫里阿诺斯在《全球通史》中,认为“文明交汇中一定会出现文明间相互渗透和融合的结果”。
根据材料并结合所学知识,评析马克思或斯塔夫里阿诺斯的观点。(要求:围绕材料中一种或两种观点展开评析;运用相关史实进行评析,史论结合,观点明确。)
5、判断题 下面是英国各行业就业人数占总就业人数的比例变化示意图。该比例发生变化的主要原因是?

[? ]
A.殖民扩张的加强? ?
B.外来移民的涌入
C.自由主义的推行? ?
D.工业革命的开展
答案及详细解析请点下一页查看。