| 高考省级导航 | |
|
|
|
高考地理知识大全《地壳物质循环及地表形态的塑造》考点预测(2017年强化版)(八)
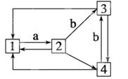
A.①——天然气 B.②——煤炭 C.④——大理石 D.⑥——石油 参考答案: 本题解析: 本题难度:一般 2、单选题 下图中由外力作用形成的是 参考答案:B 本题解析: 本题难度:简单 3、单选题 下面为“地壳物质循环简略示意图”,分析完成下列各题。 |
参考答案:
【小题1】D
【小题2】A
【小题3】B
本题解析:
【小题1】1代表的地壳物质可以有2、3、4物质转化过来,而1物质只能转化为2物质,由此判断1为岩浆。
【小题2】由上题可知1物质为岩浆,2物质有岩浆直接形成,为岩浆岩,故A正确。
【小题3】如果3代表的是沉积岩,则4物质为变质岩,指向3的箭头b是由变质岩变为沉积岩,需外力作用,故B正确。
考点:地壳的物质循环。
本题难度:一般
4、单选题 读海底深度与其岩石年龄关系图,回答下列各题。
【小题1】甲处的岩石类型和地形分别是( )
A.变质岩海盆
B.侵入岩海沟
C.沉积岩岛弧
D.喷出岩海岭
【小题2】下列地区所处的板块边界与甲处类似的是( )
A.日本群岛
B.地中海
C.新西兰南北二岛
D.冰岛
参考答案:
【小题1】D
【小题2】D
本题解析:
【小题1】大洋中,岩浆从海岭处不断涌出,堆高成为类似陆地山脉的海岭,并且推动两侧板块张裂运动,距海岭越远,岩石年龄越老,图中就反映出了这一特征,所以D项正确。
【小题2】海岭为板块生长边界。日本群岛、地中海、新西兰南北二岛的板块边界都属于消亡边界类型,只有冰岛位处板块生长边界。
考点:板块构造。
本题难度:一般
5、单选题 长城西段遭受严重破坏的自然因素是(?)
A.流水侵蚀
B.风力侵蚀和风化
C.水的溶蚀
D.冰川侵蚀
参考答案:B
本题解析:本题考查局部自然环境。长城西段主要位于甘肃省和内蒙古的西部,地处干旱地区,故主要的外力作用为风力。
本题难度:一般
| 【大 中 小】【打印】 【繁体】 【关闭】 【返回顶部】 | |
| 下一篇:高中地理知识点大全《区域地理》.. | |