| 高考省级导航 | |
|
|
|
高考地理高频考点《水的运动》试题巩固(2019年最新版)(三)
A.稻米、玉米 B.稻米、小麦 C.小麦、玉米 D.小麦、青稞 |
2、单选题 下面是我国两地潜水埋藏深度年变化曲线图,读图回答。
小题1:图中①、②两地可能分别位于
A.东北平原、长江三角洲
B.江南丘陵、华北平原
C.珠江三角洲、黄土高原
D.云贵高原、唯噶尔盆地
小题2:关于图中①、②两地说法正确的是
A.M处受台风影响,降水多,潜水埋藏浅
B.N处表示①②两地潜水位高度一定相同
C.M处受副高影响,降水少,潜水水位低
D.与①相比,②地潜水位的季节变化大
3、单选题 2011年某考察团对非洲及其附近海域进行了考察.读图回答问题.
小题1:该考察团按照图中虚线箭头所示方向考察了三个地区,其所见景观依次是
A.①②③
B.②①③
C.③②①
D.②③①
小题2:该考察团在图中的甲、乙、丙、丁四处海域进行盐度测量,由高到低排列正确的是
A.甲、乙、丙、丁
B.乙、丙,丁、甲
C.丙、乙、丁、甲
D.丙、乙、甲、丁
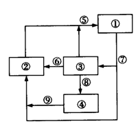
4、单选题 读下面水循环示意图,回答下面几题。
1.若图中数码①②③④表示海洋水、大气水、地表水和地下水,则数码①②③④依次表示2.若图中数码⑤⑥⑦⑧⑨表示降水、蒸发、地表径流、下渗、地下径流五个环节,则数码⑤⑥⑦⑧依次表示3.目前人类活动对水循环中影响最大的环节是
A.海洋水、大气水、地表水、地下水
B.大气水、海洋水、地表水、地下水
C.海洋水、大气水、地下水、地表水
D.大气水、海洋水、地下水、地表水
E.降水、蒸发、地表径流、下渗
F.蒸发、降水、地表径流、下渗
G.降水、蒸发、下渗、地表径流
H.蒸发、地表径流、降水、下渗
I.⑤
G.⑥
⑦
⑨
5、单选题 下图为济南市“趵突泉”形成示意图,读图回答1~2题。 
1、根据水循环原理知识,判断下列所述正确的是
[? ]
A、城市污水是导致趵突泉水质变坏的主要原因
B、城市地面硬化,导致趵突泉水位持续下降
C、南部山区降水量影响趵突泉地下水位高低
D、图中所示径流量增大,可导致城市内涝
2、前些年,趵突泉一度断流,但自2003年趵突泉实现复涌以来,趵突泉实现连续多年持续喷涌已成定
? 局。保证趵突泉持续复涌最关键的因素是
[? ]
A、区域降水增加
B、城市环境改善
C、南水北调工程
D、地下水位上升
| 【大 中 小】【打印】 【繁体】 【关闭】 【返回顶部】 | |
| 下一篇:高考地理试卷《地球运动及其地理.. | |