| 高考省级导航 | |
|
|
|
高考地理答题模板《地壳物质循环及地表形态的塑造》高频试题巩固(2019年最新版)(五)
A.流水侵蚀 B.流水沉积 C.风力侵蚀 D.风力沉积 |
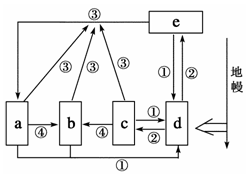
5、单选题 下图为“三大类岩关系示意图”,图中方框代表岩浆、喷出岩、侵入岩、沉积岩、变质岩,数字代表各种作用。读图完成下列各题。
小题1:图中代表沉积岩和变质岩的字母是?(?)
A.a、b
B.c、d
C.d、e
D.a、e
小题2:图中对应变质作用和重熔再生作用的序号是(?)
A.①②
B.③④
C.④①
D.②③
| 【大 中 小】【打印】 【繁体】 【关闭】 【返回顶部】 | |
| 下一篇:高考地理试题《主要农业地域类型.. | |