| 高考省级导航 | |
|
|
|
高考地理题《地壳物质循环及地表形态的塑造》答题技巧(2019年最新版)(六)
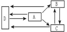
参考答案:B 本题解析:根据三大类岩石都能转化为岩浆,判断D表示岩浆;则岩浆经冷凝作用,生成岩浆岩A;故只有B项正确。 本题难度:一般 2、单选题 诗人感慨“常恨春归无觅处”,其实世界上有一些地方“四季如春”,如我国云贵高原上的昆明,埃塞俄比亚的首都亚的斯亚贝巴(4°N)、厄瓜多尔首都基多(位于赤道附近)等。这些“春城”所在的地形一般是 参考答案:C 本题解析: 本题难度:简单 3、单选题 读下列景观图,回答下列各题。 |
参考答案:
【小题1】B
【小题2】A
本题解析:
【小题1】本题考查外力作用与地貌。根据图示可知,该古迹是埃及金字塔,地处热带沙漠气候区,高温干旱,风力作用显著,因风力侵蚀作用,古迹被破坏。因此答案为B。
【小题2】本题考查外力作用与地貌。根据图示可知,该古迹是埃及金字塔,地处热带沙漠气候区,高温干旱,风力作用显著,因风力侵蚀作用,古迹被破坏。
本题难度:一般
4、综合题 (?6O?分)阅读图文资料,完成下列各题。
黄河中下游地区不仅是中华丈明的发祥地,也甘长期是中国古代的政治经济丈化中心。
材料一?宋代曾经广泛推行“风闻奏事”的制度,负责监察的谏官可以根据道听途说来参奏大臣。《文献通考》云:“故御史为风霜之任,弹纠不法,百僚震恐,官之雄峻,莫之比焉。旧制,但闻风弹事,提纲而已。”此例一开,台谏官员与执政大臣势如水火。清代雍正帝曾颁布上谕,允许所有三品以上的官员可以根据“风闻”有密折奏事权力,这样皇帝对台谏官员在政治信息上的依赖性大大降低了。据统计,和雍正元年相比,雍正七年京师廷臣的折奏数量大大降低,占折奏数量最大的是地方督抚,达到70%以上。这说明皇帝依靠奏折所获取政治信息的重点是地方各省,而在以往能够把地方情形上报中央的重要方式之一是中央和地方的台谏官员。
蒋洲为山西布政使,执掌全省财政大权,期间,滥用库银,逢迎结纳,大肆挥霍,造成巨万库银亏空。赴新任时把亏空银两分摊给山西全省各府州县属员,不足部分由侵卖木植补充,被新任巡抚塔永宁奏以风闻:“臣由陕西起程赴任途次即闻得升任布政使蒋洲亏空库项,…?…后细加体访,…?…知蒋洲实在亏空库银二万余两。”乾隆帝即着刑部尚书刘统勋查办此案。经多方查证,蒋洲亏缺一万二千两白银,透支养廉银三千余两,侵吞工程银二千余两,结果蒋洲被处死。?——根据?《中国古代监察创度》整理
材料二?下图为山西省和陕西省示意图及汾河河津水文站1950~2010年年累计径流量和年累计输沙量的变化示意图(年累计径流量和年累计输沙量为多年径流量和愉输沙量之和)。
(1)材料一中塔永宁自陕西省会西安前往山西省会太原,其经过的主要地形区是?平原和?谷地,并简述两地形区的形成的共同原因。( 8 分)
(2)汾河流城在1971——2010 年年平均降水量变化不大,指出 1971——2010 年河津水文站年输沙量和年径流量的变化趋势并分析其原因。(12 分)
参考答案:
(1)渭河?汾河(4分)?地壳断裂下陷,河流携带泥沙堆积而成。(4分)
(2)趋势:河津水文站年输沙量和年径流量均呈减少趋势,年输沙量减少幅度更大。(4分)
原因:汾河流域人口的增加,经济的发展,城市化进程加快、工业、生活和农业用水需求量的增加使地表水资源不断减少;汾河流域重视水土保持工作,大面积的退耕还林(草)、水库及淤地坝等水利工程改变了流域的坡面及河道中土壤侵蚀发生与输送的过程,大大减少了因坡面侵蚀到达河流的泥沙。(8分)
本题解析:
(1)从图中看到有陕西省、山西省,中间一条河流就是黄河,两侧支流是黄河最大的支流——渭河、汾河,分别流经西安、太原,形成地形平坦的河谷平原。渭河平原位于秦岭北侧,而汾河谷地则是位于太行山的西侧,都是断层形成的地堑。
(2)由图中曲线形状看到1971年的年输沙量和年径流量都是逐年增加很大,而1971年之后变得平缓,说明增加量不大,并开始减少,特别是上面那条表示的是输沙量曲线。究其原因,应该从上游的用水量增加,还有就是上游整治的各项工作实施,使得河水向下流的水量减少等。
本题难度:一般
5、综合题 (28分)分析图文资料,完成下列各题。
下图中R山海拔2180米,具有顶平、坡陡、麓缓的外观特征。R山顶部长约14千米,宽约5千米,主要由砂岩构成;山下生气盎然,猴子的吱吱叫声和金刚鹦鹉的鸣声此起彼落,四周覆盖着棉花糖般的云,边缘攀爬着前所未见的热带植物,上百条瀑布飞溅,被誉为“瀑布之乡”。
(1)据图描述R山的地理位置。(6分)
(2)说出R山岩石类型、地质构造和构造地貌。(6分)
(3)据图简述R山山顶的气温特点,并分析其形成原因。(10分)
(4)从大气环流和地形角度简述R山被誉为“瀑布之乡”的原因。(6分)
参考答案:
(1)位于南美洲(东)北部;(2分)低纬(热带)地区;(2分)委内瑞拉、巴西、圭亚那三国交界处。(2分)
(2)沉积岩(2分) 地垒(2分) 块状山(2分)
(3)气温特点:终年温和(2分),气温年较差小(2分),昼夜温差大(2分)
形成原因:纬度低,获得太阳辐射季节变化小,导致气温年较差小(2分);地势高,空气稀薄,大气保温作用弱,导致年均温低,气温日较差大(2分)。
(4)地形方面: R山四周为陡崖,河流落差大,形成瀑布(2分),R山顶部平坦开阔,径流分散,导致瀑布数量多(2分)。
大气环流方面:R山终年受赤道低压带控制,盛行上升气流,降水丰富,瀑布流量大(2分)。
本题解析:
(1)某地地理位置要从经纬度位置、海陆位置、相对位置来描述。读图可知该山位于该山的相对位置是:位于拉、巴西、圭亚那三国交界处;而这些国家位于北美洲的东北部,故该山的海陆位置是:位于南美洲(东)北部;图中该山位于0°-10°纬线之间,故该山的经纬度位置是:低纬(热带)地区。
(2)材料中提到山主要是由砂岩构成,而砂岩属于沉积岩,故该山的岩石类型为沉积岩;由于图中的山地周边较陡,故该处地质构造为断层中的地垒,而地垒形成的构造地貌为块状山。
(3)气温要从年均温的高低、气温年较差、日较差来进行分析。由于该地位于热带地区,且该山的海拔为2180米,故该地终年温和;又由于纬度低,海拔较高,故该地的年较差较小;由于海拔高,大气稀薄,气温的日较差较大。
(4)瀑布的形成要有充足的降水和较陡的地形。由于该山山顶地势平坦,故山顶地表水较多;而该山周边地势较陡,这样落差大会形成瀑布景观;又由于该地位于赤道附近,该山常年受赤道低压带控制,盛行上升气流,降水丰富,瀑布流量大。
考点:地理位置的描述、岩石类型、地质构造与构造地貌和瀑布成因的考查。
本题难度:一般
| 【大 中 小】【打印】 【繁体】 【关闭】 【返回顶部】 | |
| 下一篇:高考地理知识点《地球运动及其地.. | |