| 高考省级导航 | |
|
|
|
高考地理答题模板《水的运动》高频考点预测(2019年最新版)(四)
A.有天然河流、湖泊可以利用 B.地处狭窄区域,地形较平坦 C.沿线人口多、施工劳力充足 D.径流量较大,通航时间较长 |
参考答案:
小题1:CD
小题2:AB
小题3:AC
本题解析:
小题1:该流域内气温高,蒸发强;该流域内年降水量多少与河流量季节变化无关;而湖泊对干流的调节作用和植被的涵养水源的功能,使河流的径流季节变化较稳定。故选CD。
小题2:有天然河流,可减少工程量;湖泊可以调节河流的径流;地处狭窄区域,地形较平坦,工程量小,便于施工;而人口多,不利于搬迁;该区域河流的径流量都较大,不是选址的优势。故选AB。
小题3:运河建成以后,可带动与运输有关的第三产业发展;就业机会增加,使非农人口增加;而会促进向运河方向的陆上运输发展;刺激农业生产结构的转型,使农业产值增加。故选AC。
本题难度:一般
2、单选题 下图为南极地区水循环示意图,回答1—2题。?
1.图中各环节强弱关系正确的是
[?]
A.②<⑤
B.④>③
C.③<②
D.⑤>⑥
2.关于环节⑥说法正确的是
[?]
A.河水的运动
B.地下水的运动
C.全球变暖时,环节⑥变强
D.南极考察最佳期间,环节⑥减弱
参考答案:1.D
2.C
本题解析:
本题难度:一般
3、单选题 大气环流和大洋环流源源不断地从低纬度向高纬度输送热量,下图表示“北半球向北的热量输送随纬度的变化”,读图完成以下各题。
【小题1】引起大气环流和大洋环流输送热量的根本原因是
A.海陆热力性质差异
B.海陆分布和地球运动
C.太阳辐射和地球运动
D.气压带风带季节移动
【小题2】曲线①、②、③代表的热量输送分别是
A.大气输送、总热量输送、海洋输送
B.海洋输送、总热量输送、大气输送
C.大气输送、海洋输送、总热量输送
D.海洋输送、大气输送、总热量输送
参考答案:
【小题1】C
【小题2】B
本题解析:
【小题1】结合教材知识可知引起大气环流的能量来源是太阳辐射,大洋环流的主要动力是大气环流,风向和洋流流向均受地转偏向力影响。故选C。
【小题2】总热量输送数值应最大,对应②曲线。中纬度地区盛行由低纬吹向高纬的西南风,西南风源源不断地将热量输往高纬,这里大气环流向北输送的热量最多,故③为大气输送。故选B。
考点:大气环流、大洋环流
点评:本题组考查了大气环流、大洋环流。需要学生掌握大气环流及大洋环流的概念,来分析两者的成因。北半球中纬度为盛行西风,由低纬吹向高纬,通过大气环流把热量带到高纬度即北部,通过图中可以分析出对应的曲线,而总热量应为大气环流和大洋环流的总和,为最大。
本题难度:一般
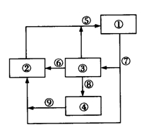
4、单选题 读下面水循环示意图,回答下面几题。
小题1:若图中数码①②③④表示海洋水、大气水、地表水和地下水,则数码①②③④依次表示? (? )
A.海洋水、大气水、地表水、地下水
B.大气水、海洋水、地表水、地下水
C.海洋水、大气水、地下水、地表水
D.大气水、海洋水、地下水、地表水
小题2:若图中数码⑤⑥⑦⑧⑨表示降水、蒸发、地表径流、下渗、地下径流五个环节,则数码⑤⑥⑦⑧依次表示? (? )
A.降水、蒸发、地表径流、下渗
B.蒸发、降水、地表径流、下渗
C.降水、蒸发、下渗、地表径流
D.蒸发、地表径流、降水、下渗
小题3:目前人类活动对水循环中影响最大的环节是? (? )
A.⑤
B.⑥
C.⑦
D.⑨
参考答案:
小题1:B
小题2:D
小题3:B
本题解析:
小题1:水循环过程实际上就是海洋水、大气水、地表水、地下水之间的相互转化过程。解题时可采用尝试法解题,把四者填进去以后,结合水循环的环节,看其是否符合水循环的过程。
小题2:在确定海洋水、地表水、地下水和大气水后就很容易得到答案。
小题3:目前人类可以通过增加或减少地表蒸发、人工增雨、跨流域调水等方式影响水循环的个别环节。但最主要的是通过改变地表径流来影响水循环,修建水库、跨流域调水、植树造林都可以对地表径流产生影响。
本题难度:简单
5、综合题 (11分)阅读下列图文材料回答问题。
材料一:虚拟水指生产产品和服务所需要的水资量。虚拟水不是真实意义上的水,而是以“虚拟”的形式包含在产品中的“看不见”的水。许多国家虚拟水资的进出口以农产品和工业产品表现出,每年全球商品中虚拟水资的流动总量约达16250亿立方米。约旦和以色列等一些干旱国家以虚拟水形式进口的水量已远远超过了其出口的虚拟水量。
材料二:下图为中国虚拟水战略区划图。
(1)分析A、B两省同属虚拟水平衡区的原因。(4分)
(2)从虚拟水角度为C省的产业走可持续发展提出建议。(4分)
(3)从水资利用的角度,说明虚拟水资流动的地理意义。(3分)
参考答案:
(1)(4分)A省:水资少;人口少,生产、生活消费量少(2分)。B省:水资多;人口多,工农业发达,生产生活所需量大(2分)。
(2)(4分)优化产业结构,降低高耗水产业的规模和数量;发展节水型产业;积极进口水密集型产品(高耗水产品);加大技术投入,提高水资的利用率;跨流域调水,修建水利工程等(4分,答对四点给满分)。
(3)(3分)因地制宜合理利用水资,提高水资的利用率;弥补水资空间分布不均匀的不足;在生产和贸易中,合理控制高水分产品的种类和数量(3分)。
本题解析:
(1)A为新疆,B为江苏;新疆深居内陆距海远,气候干旱降水少,水资源少,但人口稀少,生产生活消费小;江苏工农业发达,人口多,对水资源需求量大,所以A、B两省虚拟水平衡。
(2)C为河北,水资源缺乏,对水资源需求量大,走可持续发展应从产业调整、开源节流、提高水资源利用率等方面分析。
(3)虚拟水可以弥补水资源空间分布不均,提高利用率。
本题难度:一般
| 【大 中 小】【打印】 【繁体】 【关闭】 【返回顶部】 | |
| 下一篇:高考地理知识大全《地壳物质循环.. | |