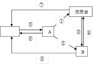
1、综合题  读“地壳物质循环简略示意图”,读图完成下列问题(10分):

(1)根据图中箭头的方向,各数字所代表的地质作用中:
属于冷却凝固作用的是__________;
属于高温熔化作用的是__________;
属于变质作用的是_____________,
表示外力作用的是_____________。
(2)外力作用包括的作用过程依次为风化、_________、搬运、_________、___________。
(3)A所属的岩石类型是_________,B所属的岩石类型是___________,石灰岩的岩石类型属于A、B中的_________(填字母)。
 
	        2、单选题  丹霞地貌是中国人自己命名的,由红色砂砾岩构成的具有陡峭坡面的各种地貌形态。它是由红色砂砾岩在风化、重力崩塌、侵蚀、溶蚀等综合作用下形成的。丹霞地貌各个时期的景观类型取决于地面不断抬升、风化与流水作用等因素。读图,回答1~2题。 

1、丹霞地貌形成的地质过程是
[? ]
A、红色砂砾固结成岩→地壳抬升风化→重力崩塌→流水侵蚀搬运
B、地壳抬升→红色砾岩固结成岩→冰川作用→重力崩塌→风化
C、冰川作用→地壳水平运动→流水侵蚀搬运→海洋沉积→风化
D、红色砂砾固结成岩→变质作用→流水侵蚀搬运→重力崩塌→流水侵蚀搬运
2、丹霞地貌典型的顶平、坡陡、麓缓特征可能是因为
[? ]
A、顶平,是受垂直岩层控制
B、坡陡,完全是内力作用所致
C、麓缓,受风化与流水堆积物的影响
D、麓缓,是受平缓流水侵蚀所致
 
	        3、单选题  由于火山喷发而形成于地表的岩石有 
A.玄武岩
B.石灰岩
C.花岗岩
D.流纹岩
 
	        4、单选题  下列各图所示的地质构造或地貌景观,主要由外力作用形成的是

A.①④
B.②③
C.①③
D.②④