高考省级导航

全国 A安徽 B北京 C重庆 F福建 G广东 广西 甘肃 贵州 H河南 河北 湖南 湖北 黑龙江 海南 J江苏 江西 吉林 L辽宁 N内蒙古 宁夏 Q青海 S山东 山西 陕西 四川 上海 T天津
     X新疆 西藏 Y云南 Z浙江

高考地理高频试题、高中地理题库汇总-压中真题已成为一种习惯

地球与地图 地球 地图: 地图的基本知识 等值线图 宇宙中的地球 宇宙环境: 地球是太阳系中 太阳对地球的影响 地球运动及其地理意义: 地球运动的地理意义 地球的圈层结构 宇宙探测 人类认识的宇宙 物质运动和能量交换 地壳物质循环 内力作用与地貌 大气的热状况 大气受热过程 大气运动 全球气压带 常见的天气系统 气候类型及其判断 大气的圈层结构 水的运动 陆地上水体 世界洋流分布 水资源利用 整体性和差异性 自然环境 地理环境的整体性: 自然地理要素 地域分异规律 陆地自然带 自然对人类影响 地表形态对聚落及交通 全球气候变化 资源对人类生存: 自然资源的分布和利用 自然灾害发生 人口与城市 人口与地理环境: 人口增长与人口问题 人口迁移 人口分布 人口性别 城市与地理环境: 城市的空间结构 城市化的过程和特点 城市的区位因素 地域文化 生产活动 农业生产活动 农业区位因素 农业地域类型 工业生产 工业区位因素 传统工业区和新兴工业区 交通运输 现代交通运输方式 交通运输线路 交通运输布局 城市交通的特点 商业中心和国际贸易 区域可持续发展 区域工业化 区域农业生产 人类与地理环境 人地关系思想 主要环境问题 可持续发展 区域地理环境 地理信息技术的应用 遥感(RS) 全球定位系统 地理信息系统 区域生态环境的建设 荒漠化的防治 水土流失的治理 森林的开发和保护 区域地理 世界地理 世界分区地理 中国地理 中国地理概况 中国的河流和湖泊 中国的农业和工业 中国的天气和气候 中国的自然资源 中国区域差异 东部季风区 国土整治 选修部分 宇宙与地球 太阳系和地月系 海洋地理 海洋和海岸带 海洋环境问题 海洋开发 海洋权益 旅游地理 旅游活动设计 旅游景观的欣赏 旅游与区域发展 旅游资源的类型与分布 旅游资源的综合评价 文化景观 文明旅游 城乡规划 自然灾害与防治 自然灾害与环境 主要自然灾害 自然灾害 防灾与减灾 环境保护 资源问题 生态环境保护 生态问题 环境污染与防治 环境与环境问题 环境管理 环境与发展问题 地理信息技术应用 3S技术综合应用 地图与遥感 综合专题

高考地理题《地壳物质循环及地表形态的塑造》高频试题强化练习(2019年最新版)(四)
2020-01-16 06:15:36 【

1、单选题  图为某河流河曲处的示意图,读图回答第30题。

下列四幅河床横剖面示意图中,能正确反映沿EF断面的是


参考答案:D


本题解析:
本题考查河流的侵蚀作用。在河流弯曲处,凹岸侵蚀严重,凸岸泥沙淤积。图中E岸为凹岸,受侵蚀,河床坡度较大,F处河床坡度小。所以本题选择D选项。


本题难度:一般



2、综合题  阅读下列材料,回答问题。(10分)
材料一:我国东南沿海某区域等高线示意图

材料二:该地多年平均降水量(mm)月分配表

(1)图中A、B两地相对高度为                ,河流剖面图甲、乙、丙由上游到下游依次为             ,M处发育成河谷的原因是                 。(3分)
(2)据材料二的信息,分析该地6、7、8三个月之间降水量差异的主要原因。(4分)
(3)近几十年,丁处0米线向远离大陆方向突出,运用地理环境整体性原理,说明形成这种现象的原因。(3分)


参考答案:
(1)(200m,250m)(1分) 乙、丙、甲(1分)  该地断层发育,岩石破碎易被流水侵蚀为谷地。(1分)
(2)6、8月降水多,7月份降水相对少。(1分)
6月份受准静止锋的影响,阴雨天较多。(1分)7月份受副高的影响,盛行下沉气流降水较少。(1分)8月份常受台风影响,多暴雨。(1分)
(3)地理环境各要素间相互作用,相互影响,相互制约。受气候和人类活动破坏植被等因素的影响,(1分)丁所处河流流域水土流失加剧,河流含沙量增加,(1分)泥沙在入海口沉积形成三角洲。(1分)


本题解析:
(1)读图,根据图中海拔高度数值分析,A地海拔是100米,B地海拔在300-350米之间,所以相对高度为200m到250m之间。河流上游河谷窄深,下游河谷宽浅,所以由上游到下游依次乙、丙、甲。根据剖面图分析,M地断层发育,岩石破碎,所以易被流水侵蚀为谷地。
(2)根据材料二分析,该地6、8月降水多,7月份降水相对少。主要是因为6月份受准静止锋的影响,阴雨天较多。7月份受副高的影响,盛行下沉气流降水较少。8月份常受台风影响,多暴雨。
(3)地理环境各要素间相互作用,相互影响,相互制约。近几十年,丁处0米线向远离大陆方向突出,说明河口处泥沙沉积增加,泥沙在入海口沉积形成三角洲,海岸线向海洋凸出。丁所处河流流域水土流失加剧,河流含沙量增加,是受气候和人类活动破坏植被等因素的影响,是地理环境整体性的表现。
考点:等高线图,河道剖面特征,区域降水量变化的原因,地理环境的整体性。


本题难度:一般



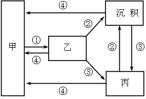
3、单选题  下图为地壳物质循环示意图。读图,完成题。

小题1:图中甲、乙、丙分别代表
A.岩浆岩、岩浆、变质岩
B.岩浆、岩浆岩、变质岩
C.变质岩、岩浆、岩浆岩
D.岩浆、变质岩、岩浆岩

小题2:图中序号③表示的是
A.搬运作用
B.侵入作用
C.变质作用
D.风化作用


参考答案:
小题1:B
小题2:C


本题解析:
小题1:根据三大类岩石与岩浆之间的相互转化关系判断,图示只有①作用能生成乙,故判断乙表示岩浆岩,则甲表示岩浆。岩浆(甲)只能生成岩浆岩(乙);而变质岩和沉积岩都可以由其他已经生成的岩石转化而形成,已经生成的岩石都能转化为岩浆。则丙应表示变质岩。
小题2:结合上题结论,③应表示生成变质岩的变质作用。
点评:本题解题的关键是掌握三大类岩石与岩浆之间的相互转化关系,及其中的地质作用过程,学生应抓住不同的地质作用生成的不同岩石类型分析。


本题难度:一般



4、单选题  当地时间2011年2月22日11时51分(世界标准时间是21日23时51分),下图所在地区发生强烈地震。据此完成小题。                                     

【小题1】推断图中J1和J2的两条经线的经度分别为
A.55°E、60°E
B.135°E、140°E
C.170°E、175°E
D.180°、175°W

【小题2】图中板块边界是
A.印度洋板块和太平洋板块的消亡边界
B.印度洋板块和太平洋板块的生长边界
C.印度洋板块和南极洲板块的消亡边界
D.南极洲板块和太平洋板块的生长边界


参考答案:
【小题1】C
【小题2】A


本题解析:
【小题1】世界标准时间为0°经线的地方时,根据0°经线的地方时为2月21日23时51分,当地时间2月22日11时51分,可求出当地时区中央经线为180°,排除选项A、B。根据轮廓可判断该地为新西兰南北二岛,新西兰南北二岛位于180°经线以西,排除选项D,故正确答案是C。
【小题2】图示为新西兰南北二岛,新西兰南北二岛位于印度洋板块和太平洋板块挤压处,为消亡边界,选A。
考点:本题考查地球运动的地理意义和地质作用。


本题难度:一般



5、单选题  确定向斜的最可靠的依据是(      )
A.岩层向上拱起
B.中心部分岩层较新,两翼部分岩层较老
C.在地形上为山峰和山岭
D.中心部分岩层较老,两翼部分岩层较新


参考答案:B


本题解析:岩层向上拱起的是背斜,在地形上背斜也会形成山岭,故AC错;中心部分岩层较老,两翼部分岩层较新的是背斜的岩石分布特征,D错;故选择B。
考点:地质构造类型及其判断


本题难度:一般



】【打印繁体】 【关闭】 【返回顶部
下一篇高考地理知识点《城市与地理环境..

问题咨询请搜索关注"91考试网"微信公众号后留言咨询