高考省级导航

全国 A安徽 B北京 C重庆 F福建 G广东 广西 甘肃 贵州 H河南 河北 湖南 湖北 黑龙江 海南 J江苏 江西 吉林 L辽宁 N内蒙古 宁夏 Q青海 S山东 山西 陕西 四川 上海 T天津
     X新疆 西藏 Y云南 Z浙江

高考地理高频试题、高中地理题库汇总-压中真题已成为一种习惯

地球与地图 地球 地图: 地图的基本知识 等值线图 宇宙中的地球 宇宙环境: 地球是太阳系中 太阳对地球的影响 地球运动及其地理意义: 地球运动的地理意义 地球的圈层结构 宇宙探测 人类认识的宇宙 物质运动和能量交换 地壳物质循环 内力作用与地貌 大气的热状况 大气受热过程 大气运动 全球气压带 常见的天气系统 气候类型及其判断 大气的圈层结构 水的运动 陆地上水体 世界洋流分布 水资源利用 整体性和差异性 自然环境 地理环境的整体性: 自然地理要素 地域分异规律 陆地自然带 自然对人类影响 地表形态对聚落及交通 全球气候变化 资源对人类生存: 自然资源的分布和利用 自然灾害发生 人口与城市 人口与地理环境: 人口增长与人口问题 人口迁移 人口分布 人口性别 城市与地理环境: 城市的空间结构 城市化的过程和特点 城市的区位因素 地域文化 生产活动 农业生产活动 农业区位因素 农业地域类型 工业生产 工业区位因素 传统工业区和新兴工业区 交通运输 现代交通运输方式 交通运输线路 交通运输布局 城市交通的特点 商业中心和国际贸易 区域可持续发展 区域工业化 区域农业生产 人类与地理环境 人地关系思想 主要环境问题 可持续发展 区域地理环境 地理信息技术的应用 遥感(RS) 全球定位系统 地理信息系统 区域生态环境的建设 荒漠化的防治 水土流失的治理 森林的开发和保护 区域地理 世界地理 世界分区地理 中国地理 中国地理概况 中国的河流和湖泊 中国的农业和工业 中国的天气和气候 中国的自然资源 中国区域差异 东部季风区 国土整治 选修部分 宇宙与地球 太阳系和地月系 海洋地理 海洋和海岸带 海洋环境问题 海洋开发 海洋权益 旅游地理 旅游活动设计 旅游景观的欣赏 旅游与区域发展 旅游资源的类型与分布 旅游资源的综合评价 文化景观 文明旅游 城乡规划 自然灾害与防治 自然灾害与环境 主要自然灾害 自然灾害 防灾与减灾 环境保护 资源问题 生态环境保护 生态问题 环境污染与防治 环境与环境问题 环境管理 环境与发展问题 地理信息技术应用 3S技术综合应用 地图与遥感 综合专题

高考地理试卷《农业生产活动与地理环境》高频试题特训(2019年最新版)(九)
2020-03-17 06:51:38 【

1、综合题  读下图“北京市农业分布图”和材料一,回答下列问题。

(1)北京所属的气候类型是___________________,其地势特征是____________________________________。
(2)顺义素有“京郊粮仓”的美誉,其发展粮食种植业的优势自然条件有:______________________________________________________________________________________________________________________________。
材料一:2012年2月,昌平区成功举办了第七节世界草莓大会。本市自2001年开始大面积种植草莓,目前温室面积已达2000多亩,引进栽培欧美、日本新品种草莓10余个。作为中国草莓第一镇的昌平区兴寿镇发展草莓专业村12个,建起上千个日光温室,生产冬季草莓,每年11月到翌年6月,都有草莓供应市场。
(3)阅读上面的资料,简要分析近年来昌平区发展草莓种植的优势社会经济条件:________________________________________________________________________________________________________________________________________。
(4)门头沟区因地制宜发展农业的正确选择是
[? ]
A.大规模发展现代旱作谷物农业?
B.以水稻种植业为主
C.积极发展生态农业
D.发展“一村一品,一沟一品”的特色林果业



2、单选题  图6表示某地农业生产投入的变化过程,读图回答。

小题1:影响该地区农业地域类型变化的主要因素是
A.自然条件的变化
B.市场需求的变化
C.科学技术的发展
D.国家政策的变化

小题2:图中④阶段比③阶段更有利于该地区生态环境保护,这主要是因为
A.引进了新的蔬菜品种,更适合在当地种植
B.加大科技投入,提高了蔬菜产量
C.减少温室大棚使用,提高了经济效益
D.减少了化肥、农药投入,促进了农副产品综合循环利用



3、综合题  读图和阅读资料,完成下面问题。(16分)
厄立特里亚气候干旱,降水量小而且不稳定。2007年人均国民收入仅270美元,农业是国民经济的支柱,但粮食不能自给。农业生产技术相对落后,如在平原、山地斜坡主要采用传统地面灌溉和引洪灌溉的方式,很少实施喷灌、滴灌。目前我国和厄立特里亚正在开展农业方面的合作。

(1)概述厄立特里亚的地理位置特征。(3分)
(2)归纳该国的地势特征,并根据地势判断该国从东南部到西北部气温变化趋势(6分)
(3)一般而言A、B、C三条河流发源区大气降水补给量由大到小依次是_________.(1分)
(4)简述厄立特里亚农业发展面临的主要问题以及该国可以采取的措施。(6分)?



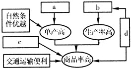
4、单选题  商品谷物农业是一种面向市场的农业地域类型,其基本特征是生产规模大、机械化程度高、商品率高。下图为“商品谷物农业区位条件示意图”。读图回答1~2题。

1、图中a、b、c、d与下列区位条件对应正确的是①农业科技先进②人均耕地面积大③机械化水平高④市场广阔
[? ]
A、a—①、b—②、c—③、d—④
B、a—②、b—①、c—④、d—③
C、a—①、b—③、c—④、d—②
D、a—②、b—④、c—③、d—①
2、与长江三角洲地区相比,东北地区发展商品谷物农业的优势条件是
[? ]
A、水热条件优越
B、人均耕地面积大
C、市场广阔
D、农业科技先进



5、单选题  农业生产中不合理灌溉可能会导致(  )
A.土壤沙化
B.土壤盐碱化
C.土壤pH值减小
D.洪涝灾害



】【打印繁体】 【关闭】 【返回顶部
下一篇高考地理试卷《大气的热状况与大..

问题咨询请搜索关注"91考试网"微信公众号后留言咨询