| 高考省级导航 | |
|
|
|
高考地理知识点总结《地壳物质循环及地表形态的塑造》高频试题特训(2017年最新版)(五)
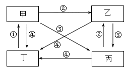
A.丙一定是大理岩 B.③一定是外力作用 C.甲类岩石有明显的层理构造 D.②环节可能是变质作用 |
2、单选题 造成黄土高原千沟万壑地表形态的根本原因是
[???? ]
3、单选题 下图为某河谷断面经历的一次洪水过程图。读图回答下题。
【小题1】下列叙述正确的是( )
A.岩层①比岩层②形成年代早
B.断层在岩层②形成之前发生
C.是断层上发育形成的向斜谷
D.呈“V”型,适宜修建水库
【小题2】在这次洪水过程中,下列描述错误的是( )
A.水位上升时,河流搬运作用增强
B.水位下降时,河流含沙量增加
C.流量增大时,河流堆积作用减弱
D.河流侵蚀作用使河床加宽变深
4、单选题 下图为“某河流示意图”,图中虚线和实线,分别表示1月和7月的河面宽度。读图,完成下列各题。
小题1:下列关于该河及其流域的叙述,正确的是
A.1月水循环最活跃
B.河流径流与气温呈正相关
C.7月河流输沙量大
D.流域内植被以针叶林为主
小题2:甲、乙、丙、丁四处河床,坡度最缓的是?
A.甲
B.乙
C.丙
D.丁
5、单选题 下图为某区域地质剖面示意图。图中左侧下部地层褶皱后,该区域先后发生了( )
A.沉积作用、侵蚀作用、岩浆侵入
B.岩浆侵入、侵蚀作用、沉积作用
C.侵蚀作用、沉积作用、岩浆侵入
D.岩浆侵入、沉积作用、侵蚀作用
|
||
| 【大 中 小】【打印】 【繁体】 【关闭】 【返回顶部】 | ||
| 下一篇:高考地理试题《城乡规划》高频试.. | ||