| 高考省级导航 | |
|
|
|
高考地理知识点总结《水的运动》考点预测(2017年强化版)(三)
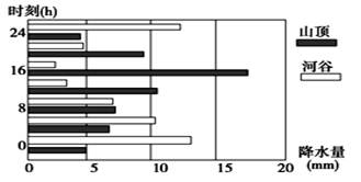
4、单选题 下图为某山区降水量日变化统计图。读图,完成下列各题。 |
5、综合题 读下图,完成下列要求。
(1)若该图表示为热力环流图,甲、乙、丙、丁中气温最高的是_________,气压最高的是_________。
(2)若该图表示为水循环示意图,则④表示___________。
(3)若该图表示为中低纬度海区的大洋环流,则该海区在______半球,按其性质分①②③④中属于寒流
? 的是__________。
| 【大 中 小】【打印】 【繁体】 【关闭】 【返回顶部】 | |
| 下一篇:高中地理知识点复习《太阳对地球.. | |