高考省级导航

全国 A安徽 B北京 C重庆 F福建 G广东 广西 甘肃 贵州 H河南 河北 湖南 湖北 黑龙江 海南 J江苏 江西 吉林 L辽宁 N内蒙古 宁夏 Q青海 S山东 山西 陕西 四川 上海 T天津
     X新疆 西藏 Y云南 Z浙江

高考地理高频试题、高中地理题库汇总-压中真题已成为一种习惯

地球与地图 地球 地图: 地图的基本知识 等值线图 宇宙中的地球 宇宙环境: 地球是太阳系中 太阳对地球的影响 地球运动及其地理意义: 地球运动的地理意义 地球的圈层结构 宇宙探测 人类认识的宇宙 物质运动和能量交换 地壳物质循环 内力作用与地貌 大气的热状况 大气受热过程 大气运动 全球气压带 常见的天气系统 气候类型及其判断 大气的圈层结构 水的运动 陆地上水体 世界洋流分布 水资源利用 整体性和差异性 自然环境 地理环境的整体性: 自然地理要素 地域分异规律 陆地自然带 自然对人类影响 地表形态对聚落及交通 全球气候变化 资源对人类生存: 自然资源的分布和利用 自然灾害发生 人口与城市 人口与地理环境: 人口增长与人口问题 人口迁移 人口分布 人口性别 城市与地理环境: 城市的空间结构 城市化的过程和特点 城市的区位因素 地域文化 生产活动 农业生产活动 农业区位因素 农业地域类型 工业生产 工业区位因素 传统工业区和新兴工业区 交通运输 现代交通运输方式 交通运输线路 交通运输布局 城市交通的特点 商业中心和国际贸易 区域可持续发展 区域工业化 区域农业生产 人类与地理环境 人地关系思想 主要环境问题 可持续发展 区域地理环境 地理信息技术的应用 遥感(RS) 全球定位系统 地理信息系统 区域生态环境的建设 荒漠化的防治 水土流失的治理 森林的开发和保护 区域地理 世界地理 世界分区地理 中国地理 中国地理概况 中国的河流和湖泊 中国的农业和工业 中国的天气和气候 中国的自然资源 中国区域差异 东部季风区 国土整治 选修部分 宇宙与地球 太阳系和地月系 海洋地理 海洋和海岸带 海洋环境问题 海洋开发 海洋权益 旅游地理 旅游活动设计 旅游景观的欣赏 旅游与区域发展 旅游资源的类型与分布 旅游资源的综合评价 文化景观 文明旅游 城乡规划 自然灾害与防治 自然灾害与环境 主要自然灾害 自然灾害 防灾与减灾 环境保护 资源问题 生态环境保护 生态问题 环境污染与防治 环境与环境问题 环境管理 环境与发展问题 地理信息技术应用 3S技术综合应用 地图与遥感 综合专题

高考地理知识点《地壳物质循环及地表形态的塑造》高频试题预测(2017年最新版)(四)
2017-08-09 17:05:13 来源:91考试网 作者:www.91exam.org 【
微信搜索关注"91考试网"公众号,领30元,获取公务员、事业编、教师等考试资料40G!

1、单选题  读等温线及地质剖面图,回答问题。

小题1:该处的地形及地质构造是
A.谷地
B.盆地
C.背斜
D.向斜

小题2:该岩层沉积的先后顺序及岩层的新老关系是
A.中心岩层新,两边岩层老
B.两边先沉积,中心后沉积
C.上部岩层老,先沉积,下部岩层新,后沉积
D.下部后沉积,上部先沉积


参考答案:
小题1:D
小题2:A


本题解析:本题考查地质构造。
小题1:根据该处的等温线分布:中间温度低,四周温度高,判断地形为山峰;结合图示岩层的分布:中间岩层向下凹,判断地质构造为向斜;故选D项。
小题2:向斜中间岩层后沉积新,两边岩层先沉积老;故选A项。


本题难度:一般



2、其他  ?为了把大尺度的时间变化过程“浓缩”在几分钟内完成,下面设计了关于“内力作用过程和地质构造”的探究学习过程,请根据有关地理知识,完成相关实验项目,并回答有关问题。
实验报告
实验材料:4cm×30cm的竹片2片(也可以用木片替代)
实验步骤:(1)两手握竹片两端加力,竹片产生变形。 (2)继续用力,先慢后快,竹片折断。 (3)竹片折断瞬间,两手虎口处有震感。 (4)竹片与岩石都具有“刚性”和“塑性”,竹片的受力变形过程与岩石的受力变形过程比较相似。
实验结论:褶皱、断层和火山(地震)都是内力作用的结果。
(1)根据实验过程和现象,在下面的方框内分别画出相对应的地质构造。
(2)褶皱、断层和火山活动都可以形成高山,将下列世界名山与对应的地质构造相连。
A喜马拉雅山  ? ①断层
B泰山? ? ②火山
C富士山? ?③褶皱
(3)分析说明背斜成谷的原因。
__________________________________________________________________________。


参考答案:

(1)

?(2)A—③;B—①;C—②
(3)背斜顶部因受张力,岩石破碎,容易受侵蚀而成谷地。


本题解析:


本题难度:一般



3、单选题  下列地形中,主要由内力作用形成的是(  )
A.三角洲平原
B.大陆架
C.黄土高原面
D.沙丘


参考答案:B


本题解析:本题主要考查地质作用与地貌关系,三角洲平原是流水沉积作用而成,黄土高原面由流水侵蚀作用而成,沙丘由风力搬运沉积而成。它们都由外力作用而成。


本题难度:简单



4、单选题  下列各组选项,均属于内力作用的表现形式的是
[? ]
A、地质作用、岩浆活动、变质作用
B、地壳运动、岩浆活动、风化作用
C、地壳运动、岩浆活动、变质作用
D、水平运动、升降运动、侵蚀作用


参考答案:C


本题解析:


本题难度:简单



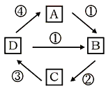
5、单选题  读三类岩石转化图,D、①分别表示

[? ]
A、岩浆岩、变质作用
B、岩浆、上升冷却
C、沉积岩、处力作用
D、变质岩石、重熔再生


参考答案:A


本题解析:


本题难度:简单



】【打印繁体】 【关闭】 【返回顶部
下一篇高中地理知识点复习《工业生产活..

网站客服QQ: 960335752 - 14613519 - 791315772