微信搜索关注"91考试网"公众号,领30元,获取公务员、事业编、教师等考试资料40G!
该空应包含两个话题——经营模式和农民流出,故正确答案是C。
53、【解析】A。A是针对第一句话的后半句说的——“知人不深、察人不准,对干部的了解仅停留在感性上、印象上,往往会出现用人不当、用人失误”,说的是“知人不准往往会出现用人不当”,所以A出现了偷换语气的错误,将原文中“往往”去掉后变成了肯定语气。B是根据最后一句话,正确。C是根据第三句和最后一句话,正确。D是根据第三句话“德才高低、能力强弱、作风好坏”可知D正确。
54、【解析】C。这是一道语句填空题,根据前后的语境,横线前面说“迁都实际上牵扯到很多人的现实利益”,后面说“由于众口难调”,可知迁都是一项十分庞大、复杂和困难的工作,因此排除A和D。原文只是说迁都是困难的,并没有体现“世界难题”这个层次,因此B不合语境。C系统工程符合前后语境,故正确答案为C。
55、【解析】C。这是一道词语理解题。根据前后文小语境,“越俎代庖”中的“庖”的语境在前文,即“由企业根据总体设计和市场进行选择”,故正确答案为C。
56、【解析】B。选择B。语句填空题,所要填入的词在转折关联词“但”之后,故就近语境应与最后一句呼应“它属于个人,也属于社会”。可知谈论的应是其意义价值,即“财富”。故答案选B。
57、【解析】C。文段最后一句话“因此”引出的观点为重点句,主体为“纪检监察干部”。运用主体排除法,可知C选项为最后答案。
58、【解析】B。文段先说“常识告诉我们”,引出重点“就是一个从审不懂到审得懂的过程。读书亦是如此”,强调“读懂”;接下来说“常识还告诉我们”,引出重点“读懂读透一本难懂的好书,特别是读进去一部经典作品,胜读很多本一般的书”,也强调“读懂”。故答案为B。
59、【解析】B。这是一个总分结构,首句提出观点,提出了碰撞对于地球的重要性,后面进行具体的解释说明,首先是碰撞产生热储备,使得地球磁场产生,进而产生了一些看似不相干的现象,“月亮的诞生、磁场的形成、板块构造和水的形成等等”,这些现象都是由碰撞直接或间接产生的,所以文段强调的主体是碰撞,故标题为“碰撞的奇迹”。选择B。
60、【解析】B。这是一个问题类的标题选择题,文段核心探讨的问题是快递包装绿色化有三大瓶颈的问题,后面提出了解决对策,“要打破这些瓶颈,还有大量的工作要做”,后面列举了几项对策,问题类的题目,优先选对策作为标题,故对对策的内容进行概括,选择B。D选项虽然也是对策项,但“社会综合治理”文段没有提到,为无中生有。选择B。
61、【解析】D。店铺B的面积是8,所以B店铺三角形的底边是8×2/4=4,进而可得A店铺的直角边长度是2(等腰三角形底边的中线和高是一条线),那么店铺C的面积为(6+4)×4/2=20,店铺C装修费为20×500=10000元。答案选择D。
62、【解析】B。等比例分层抽样,每部分的抽样比例及整体抽样比例完全一致,所以x/750=7/350,解得x=15。答案选择B。
63、【解析】D。根据题意,如下图。E、F、G、H是四边形ABCD的中点。且EFHG为矩形,根据EF平行AC,FH平行于BD,且EF和GH垂直,则AC与BD垂直。因此,四边形ABCD为对角线互相垂直的四边形。答案选择D。

64、【解析】B。甲车8点出发12点到达,用时4个小时,速度为V甲=360÷4=90 km/h,乙车8点出发17点到达,用时9个小时,速度为V乙=360÷9=40 km/h,之后甲车变为三分之一即30 km/h,乙车变为一半即20 km/h,则到18点时,甲车走了30×6=180 km,乙车走了20×1=20 km,则两车相距360-180-20=160 km。答案选择B。
65、【解析】C。解法一:立方体上写着6个连续整数,已知6、9、10三个数,则连续的6个整数可能是(5,6,7,8,9,10,),和为45;或者(6,7,8,9,10,11),和为51。和为45的情况下,(6,9)两个数应为相对面,图中6、9两个数字相邻,排除和为45的情况。答案选择C。
解法二:6个连续整数,则这6个数为等差数列,等差数列求和=(首项+末项)×项数÷2=(首项+末项)×6÷2=(首项+末项)×3,所以6个数字之和为3的倍数,答案中3的倍数只有51。答案选择C。
66、【解析】A。该题目为概率问题,可采用枚举法进行列举:

根据上述表格我们能够看出满足条件的有3种情况,总情况数有6种,则此人乘坐豪华车的概率为1/2。因此选择A选项。
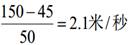
67、【解析】B。根据题目中已知条件,我们能看出,最后一名从距离终点150米处行进至45米处时间为50秒,能够求出最后一名的速度为
,当第2名完成超圈时,由于追及时间相等,能够得到等式:
,解得第二名速度为2.83米/秒。答案选择B。
68、【解析】A。
,答案选择A。
69、【解析】D。设剩下的衬衫价格为x,则有80×500×1.45=120×400+100x,解得x=100,现销售价120元,需降价20元,答案选择D。
70、【解析】A。设A种方式的话费表达式为y=at+20,B种方式的话费表达式为y=bt,结合图形可得:100a+20=100b,可得b-a=0.2。通话150分钟,话费相差150b-(150a+20)=150×0.2-20=10。答案选择A。
71、【解析】D。图形中白点和黑点在每幅图中频繁出现,考虑功能信息类,通过观察发现黑点标定了图形中面积较小的部分,白点标定了面积较大的部分,排除A,题干中四个图除黑白点外都是由两个封闭空间组成,排除BC,故本题选择D。
72、【解析】B。题干中四个图形的外框分别是正方形,圆,正方形,圆,故下一个图形的外框应该是正方形,排除CD,继续观察图形发现图形内部的元素有数量变化,第一图形内部有3个小圆圈,第二个图形内部有2个三角形,第三个图形内部有6个小圆圈,第四个图形内部有4个三角形(在素里面,三角形作为一种元素可以重复数),一,三图形小白圈个数为3,6,二,四图形三角形个数为2,4,数量规律呈等差或等比,如果是等差,则下个图形内部应该有9个小白圈,没有符合题干规律的选项,故数量规律是等比,则下一个图形内部应该有12个小白圈,故本题选择B。
73、【解析】A。观察所有图形组成元素相同,考虑位置类。第一行图形中,第一幅图形经过左右翻转得到第二幅图形。第二行图形中,第一幅图形经过左右翻转得到第二幅图形,选择A。
74、【解析】C。观察所有图形组成比较凌乱,而且都有封闭空间,优先考虑数量类的面。观察所有图形面的个数分别为:2、4、6、?,因此应该选择8个面的选项,选择C。
75、【解析】C。观察图形组成元素相同,考虑位置类。第一组图形中,第一幅图经过上下翻转得到第二幅,第二组图形中,第一幅经过上下翻转得到第二幅,选择C。
76、【解析】A。首先分析题干,要件(1)是利用的工具为光学装置和非接触的传感器,要件(2)为装置与传感器自动接收和处理,要件(3)是处理的是真实物体的图像。A项中摄像头发现灰尘多,并对该信息进行处理于反馈,向主人发出了红色警报,符合定义要件;B项中车载智能设备不属于光学装置,不符合要件(1),错误;C项中新型眼镜捕捉到的是蝙蝠发出的超声波,不属于图像,不符合要件(3),错误;D项中机器人仅仅是进行了拍摄和传输,但没有对图像进行判断和处理,不符合要件(2),排除;因此答案选择A选项。
77、【解析】D。首先分析题干,要件(1)生物与另一生物或自然界物体具有相似形态,要件(2)相似性很高,难以分辨。A项中海豚、企鹅和带鱼虽然都具有流线型的身体,但是很容易区分,不符合要件(2),错误;B项中北极熊与周围环境变成相似的白色,这属于保护色,不符合定义要求,排除;C项中大鲵仅仅与人类婴儿的哭声类似,同样可以区分,不符合要件(2),错误;D项中杜鹃会将与宿主卵酷似的卵缠在宿主巢里,是典型的拟态行为,当选。因此答案选择D选项。
78、【解析】D。本题定义的关键词:(1)有隐患;(2)为避免人际冲突,害怕遭受打击报复或维护自身脸面;(3)保留真实想法。A选项有缺陷,小王也保留真实想法,但是目的不符,是为了自己能够在竞争中保持优势才没有说,不符合定义,故排除;B选项的目的是怕影响进度,目的不符,而且是想法不成熟,并不是隐患,不符合定义,排除;C选项是因为之前同事有提到过,所以保留想法,不符合定义,排除;D选项小明确实有隐患,而老张因为其是自己的徒弟,为了维护脸面,所以保留真实想法,符合定义,故本题选择D选项。
79、【解析】C。本题定义的关键词:(1)挖掘服务对象的潜在资源;(2)服务提供者和服务对象共同提高管理;(3)实现双赢的策略。A选项只是学校获得了好处,而学生家长付出了劳动,没有实现双赢,排除;B选项老张得到了好处,但是保姆被辞退了,失去了工作,不是双赢,排除;C选项超市挖掘顾客的潜在资源,带小板凳,顾客感觉很贴心,超市业绩提升,获得好处,是双赢的局面,符合定义,故选择;D选项超市为了树立了正面形象,但是到底有没有树立起来,结果不知道,所以判断不了是否双赢,和B相比,并不明显,不符合定义,排除。故本题选择C选项。
80、【解析】C。定义中的关键信息为“在教师的组织和引导下”、“有目的有计划地开展”“教育学习活动”。选项A,不符合“在教师的组织和引导下”,排除;选项B,不符合“在教师的组织和引导下”以及“有目的有计划地开展”,排除;选项C,符合定义中的所有要点;选项D,小牛利用“免费”网络公开课,体现为小牛自己安排自己的学习,不符合“在教师的组织和引导下”,排除。故本题答案为C选项。
81、【解析】D。定义中的关键信息为“政策设计初衷与实际执行效果事与愿违”、“导致现状恶化”。选项A,禁酒令的颁发初衷是禁酒,但是实际效果却是导致酒的销量不跌反升,而且引发了新的犯罪问题,符合定义;选项B,宋神宗的命令初衷是整肃吏治、严明司法审判,实际效果却是导致新旧官员相互攻讦,符合定义;选项C,提供优裕的物质条件的初衷本来是更有利于孩子成长,但实际效果却是让孩子养成了好逸恶劳的恶习,符合定义;选项D,老师有意对害羞学生提问的初衷是帮助学生克服学生紧张的问题,至于实际效果是什么,选项并没有提及,不符合定义。故本题答案为D选项。
82、【解析】C。这是一道多定义判断,题目要求辨析“体积流量”。关于“体积流量”的要素包括1、单位时间内;2、通过特定表面;3、流体的体积。选项A说的是亚马逊河每年注入大西洋的水流体积,强调的是整条河的水流量,不符合通过特定表面这一要求,排除;选项B中的60-90千米不是一个体积的概念,排除;选项C选项“每秒”符合“单位时间内”、“7500立方米”符合“流体的体积”,“汹涌越过”这一词体现出赞比西河水通过维多利亚大瀑布这一“特定表面”,符合定义;选项D中的蓄水量不是通过特定表面,排除。故此题答案为C选项。
83、【解析】A。本题考查逻辑关系中的对应关系,词典是对词语进行查询的工具,A选项中地图是对地点进行查询的工具;B选项中盲文与阅读属于动宾关系;C选项中电影与台词或然关系,电影可能需要台词;D选项电脑是玩游戏的一种工具,因此该题只有A选项与题干逻辑最为贴近。
84、【解析】D。本题考查词义关系中的近义词关系。A选项三心二意含义为⒈谓意志不坚定,犹豫不决;⒉又想这样又想那样,犹豫不定。常指不安心,不专一,其近义词为见异思迁、朝三暮四、心不在焉,其与粗心构不成近义词;B选项身手矫捷形容人的动作灵活与敏捷,强调速度,与题干逻辑不同。C选项嗤之以鼻其意为:用鼻子轻蔑地吭气,表示瞧不起,近义词为轻蔑,其与厌恶够不成近义词。D选项举世无双含义指的是世界上再没有第二个这样的人或物。形容极其罕见稀有,其与独特构成近义词。因此该题只有D选项与题干逻辑最为贴近。
85、【解析】B。本题考查集合关系中的包含关系,女童属于儿童,儿童属于未成年。A选项中房屋与桥梁为并列关系,房屋与桥梁都属于建筑;B选项中狗崽属于小狗,小狗属