设为首页
加入收藏
考试招聘
成绩查询
考试问吧
考试题库
各地导航
在线留言
关注微信
自助书城
会员中心
招考公告
招考公告
高校教师招聘
中小学招聘
事业单位招聘
教师资格资讯
政策法规
政策法规
教师招聘政策
教师资格政策
报考指南
报考指南
教师招聘指南
教师资格政策
历年真题
历年真题
教师招聘真题
教师招聘题库
教师资格真题
事业单位真题
事业单位题库
事业单位面试
政府部门招聘
考试题库
考试题库
教师招聘题库
教师招聘真题
教师资格题库
公共基础知识
申论热点
考试辅导
考试辅导
教师招聘真题
教师招聘题库
教师资格真题
教师资格题库
公共基础知识
事业单位面试
地区导航
地区导航
教师招聘
教师招聘
高校招聘
中小学招聘
教师招聘真题
教师招聘题库
教师资格真题
教师资格考试
教师资格
教师资格
教师资格资讯
教师资格政策
教师资格真题
教师资格题库
返回首页
返回首页
公务员招考
政府部门招聘
村官招考
银行招聘
招警考试
选调生考试
三支一扶
全部考试
教师招聘考试省级导航
全国
A
安徽
B
北京
C
重庆
F
福建
G
广东
广西
甘肃
贵州
H
河南
河北
湖南
湖北
黑龙江
海南
J
江苏
江西
吉林
L
辽宁
N
内蒙古
宁夏
Q
青海
S
山东
山西
陕西
四川
上海
T
天津
X
新疆
西藏
Y
云南
Z
浙江
更详细省市县级导航
教师招聘考试提分秘籍
教师招聘考试通关题库
语文
数学
英语
音乐
体育
美术
计算机
心理
科学
历史
地理
政治
物理
化学
生物
公共
教师招聘考试必考点、题库高频试题汇总-压中真题已成为一种习惯
教育学:
教育与教育学
教育与社会的发展
教育与人的发展
教育目的
学校教育制度
学生与教育
课程
教学
德育
班级管理
班主任与班级管理
教育评价
课外活动
心理学:
心理学概述
感觉和知觉
注意
记忆
表象与想象
言语与思维
情绪、情感与意志
需要、动机、兴趣
能力
人格
社会心理与行为
教育心理学:
教育心理学概述
学生的心理发展与教育
学习的基本理论
学习动机
学习的迁移
知识的学习
技能的形成
学习策略
态度与品德的形成
问题解决与创造性
学习心理
教学心理
学生心理健康与教育
教师职业心理
教育法律法规:
中长期教育改革
教育法
义务教育法
教师法
未成年人保护法
教师资格条例
其他:
教师职业道德
教学技能与理论实践
新课程改革
教师的科学素养
教师的历史与传统文化素养
教师的文学素养
教师的艺术鉴赏素养
教学基本能力
教学评价与反思
教学实施
教育公共基础知识
教育活动的组织与实施
教育基础
教育理论
教育综合基础知识
生活指导
学生指导
职业理念
幼儿园:
学前儿童发 展
学前教育原理
游戏活动与指导
幼儿园保教知识与能力
幼儿园环境创设
幼儿园教育理论综合
幼儿园综合素质
小学:
小学教育教学知识与能力
小学教育理论综合
小学综合素质
中学:
中学教育理论综合
当前位置:
91考试网
->
考试资讯
->
教师招聘考试
->
教师招聘考试题库
<img id="aimg_yeOuh" src="http【2014年安徽省教师公开招聘考试小学数学真题及解析】
2016-10-07 17:52:33 来源:91考试网 作者:www.91exam.org 【
大
中
小
】
微信搜索关注"91考试网"公众号,领30元,获取公务员、事业编、教师等考试资料40G!
填空题
____
来源:91 考试网
填空题
____
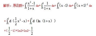
参考答案: ln2-1/2
本题解释:
本题所属考点-2014年安徽省教师公开招聘考试小学数学真题及解析
At need one sees who his friend is. 处于困境时可以看出谁是自己的朋友.
QQ空间
新浪微博
百度空间
腾讯微博
天涯社区
搜狐微博
人人网
网易微博
我的淘宝
更多
Tags:
银行招聘考试
2014年安徽省教师公开招聘考试小学数学真题及解析
题库
【
大
中
小
】【
打印
】
【
繁体
】 【
关闭
】 【
返回顶部
】
下一篇
:
<img id="aimg_hkUSO&quo..
相关栏目
中小学教师招聘
高校教师招聘
教师招聘考试真题
教师招聘考试题库
教师招聘报考指南
网站客服QQ: 960335752 - 14613519 - 791315772