微信搜索关注"91考试网"公众号,领30元,获取公务员、事业编、教师等考试资料40G!
. 莫泊桑:法国
B.
黑格尔:德国
C.
李尔王:英国
D.
猪八戒:中国
参考答案:D
· (49). 照相机:镜头一暗箱一快门一按钮( )
A.
自鸣钟:时针一发条一齿轮一响器
B.
螺丝钉:螺母一螺帽一螺纹一螺栓
C.
电子管:整流一检波一放大一发射
D.
起落架:起飞一降落一滑行一停放
参考答案:A
五、定义判断。每道题先给出一个概念的定义,然后分别列出四种情况,请严格依据定义,从中选出一个最符合或最不符合该定义的答案。注意:假设这个定义是正确的,不容置疑的。
· (50). 次国家政府外交,是指一种以两国间地方政府为主的官方外交模式。从20世纪70年代开始,次国家政府外交对国家级外交起到了极其重要的推动作用。
根据上述定义,下列属于次国家政府外交的是:( )
A. 2012
年1月29日~31日,美国加利福尼亚州政府列席第十八届非洲联盟首脑会议在埃塞俄比亚首都亚的斯亚贝巴举行
B. 2012
年2月70-17日,由美国和泰国主导的第31次“金色眼镜蛇”联合军演在泰国举行
C. 2012
年2月13日~22日,上海市市长应邀对爱尔兰、土耳其、瑞士等国进行正式访问
D.
近年来福州市人民政府与日本冲绳县开展友好城市活动,活动方式多种多样,两地受益良多
参考答案:D
· (51). 农业面源污染,是指在农业生产活动中,氮素和磷素营养物质、农药及其他有机或无机污染物质,在降水或灌溉过程中通过农田地表径流、壤中流、农田排水和地下渗漏进入水体而形成的地表和地下水环境污染。
根掘上述定义,下列属于农业面源污染的是:( )
A.
由于超量使用化肥农药,使我国日前至少有1300~1600万公顷的耕地受到严重污染,出现土壤酸化、养分失衡、肥力下降的后果
B.
某镇居民普遍乱扔生活垃圾,使得该镇的内河污染严重,整条内河几乎成了垃圾河
C.
由于淮河沿岸的工厂随意向淮河排放未经污水处理系统处理过的工业废水,导致淮河流域水体污染极其严重
D.
汛期的一场暴雨,使某区域农田中富含化肥的水大面积溢出后流人河流,造成水体污染
参考答案:D
· (52). 要约邀请,又叫要约引诱,是指一方邀请对方向自己发出要约的意思表示。
根据上述定义,下列不属于要约邀请的是:( )
A.
某法院在强制执行的过程中向社会发出其将于2014年1月22日拍卖某公司位于某地的一幢办公大楼的拍卖公告
B.
某文化用品有限公司向许多单位寄送的该公司办公用品的零售价格价目表
C. 2009
年4月30日中华人民共和国公安部发布悬赏50万元通缉10名拐卖妇女儿童的犯罪嫌疑人的悬赏广告
D.
近期农村信用社拟合并成农商银行,该地区各农村信用社的营业场所均张贴着与这次改制有关的招股说明书
参考答案:C
· (53). 囚徒困境,是指两个处于相同境遇的主体由于彼此无法充分信任对方,经过权衡后各自作出有利于自己而不利于对方的抉择,由于双方各自作出的抉择都是趋利避害以达到自己利益的最大化而不顾另一方利益,最终二者都没能实现利益最大化。
根据上述定义,下列不属于囚徒困境的是:( )
A. “
加多宝”与“王老吉”为了抢占凉茶市场份额而展开激烈的广告战
B.
上世纪六七十年代美苏两国为掌握世界霸权展开旷日持久的军备竞赛
C. “
南京大屠杀”中,两名日本军人为了获得“荣誉”进行残暴的杀人比赛
D.
甲国与乙国为保护本国商品向对方征收较髙的关税,展开旷日持久的关税战
参考答案:C
· (54). 冗余设计,是指在人力资源的聘任、使用、解雇、辞退、晋升等过程中要留有充分的余地,使人力资源整体运行过程具有一定的弹性,当某一决策发生偏差时,留有纠偏和重新决策的余地。
根据上述定义,下列不属于冗余设计的是:( )
A.
某公司市场部的一名员工辞职,导致市场部工作无法正常开展,公司只能从安检部抽人暂时替代,同时人力资源部开始紧急招人
B.
篮球比赛中每队只需要5名队员上场比赛,但通常每支职业篮球队都配备有12至15人
C.
某公司保安室配备有2名保安,即使一人有事外出,也可以保证保安室有人值班
D.
某公司每年都会招聘一批大学生,然后将他们安排在各个部门实习以熟悉公司运营情况,作为公司的储备干部
参考答案:A
六、逻辑判断。每题给出一段陈述,这段陈述被假设是正确的,不容置疑的。请根据这段陈述,选择一个答案。注意,正确的答案应与所给的陈述相符合,不需要任何附加说明即可从陈述中直接推出。
· (55). —个产品要创成名牌产品,必须质量过硬。一个产品,只有提高技术含量,才能质量过硬;而一个企业如果忽视技术投资,产品的技术含量不可能提高。
以下哪项可由上述论断推出?( )
Ⅰ.一个生产名牌产品的企业,不可能忽视技术投资。
Ⅱ.—个缺少技术含量的产品,不可能创成品牌。
Ⅲ.一个产品质量不过硬的企业,一定忽视了技术投资。
A.
只有Ⅰ
B.
只有Ⅱ
C.
只有Ⅰ和Ⅱ
D.
Ⅰ、Ⅱ和Ⅲ
参考答案:C
· (56). 在一次羽毛球比赛中,甲、乙、丙、丁四人晋级四强。至于谁能最终问鼎冠军,小张、小李、小王三人作了如下预测:
小张:冠军是甲或是乙。
小李:如果冠军不是丙,那么冠军也不是丁。
小王:冠军不是甲。
已知小张、小李、小王三人中有并且只有一人的预测准确,那么下列哪项成立?( )
A.
冠军是丁
B.
冠军是乙
C.
冠军是丙
D.
冠军是甲
参考答案:A
· (57). 由“如果这是一部好小说,那么它的思想性强并且艺术性高”一定可推出:( )
Ⅰ.这是一部好小说,所以它的思想性强。
Ⅱ.这不是一部好小说,所以它的思想性不强且艺术性不高。Ⅲ这部小说的思想性强并且艺术性高,它是一部好小说。
A.
只有Ⅰ
B.
只有Ⅱ
C.
只有Ⅲ
D.
只有Ⅰ和Ⅲ
参考答案:A
· (58). 调查显示,许多寻求帮助的人处于很大压力下。医学研究同时显示,压力会严重影响一个人的免疫系统。因此,当一个人处于压力下,他更可能生病。
下列哪项如果为真,最能支持上面的结论?( )
A.
公司员工在年终考评期间,尽管身体不适也不请假
B.
高考前很多中学生在教室里挂吊瓶复习
C.
考试期间,大学医院所处理的疾病数量也显著增加
D.
很多企业为减少员工的压力让大家参加健身活动
参考答案:C
· (59). 机场安检仪器的误检率只有1%,因此,如果一个人过安检时仪器发出警报,他携带违禁物品的可能性为99%。
下列哪项为真,最能说明上述论证存在的漏洞?( )
A.
如果一个人过安检时仪器没发出警报,则他携带非违禁物品的可能性为99%
B.
在各种违禁物品中,安检仪器对爆炸物的敏感度最高
C.
不能根据仪器的误检率来推算一个人携带违禁物品的可能性
D.
误检是指对未携带违禁物品的对象发出警报或对携带违禁物品的对象未发出警报
参考答案:D
· (60). 正是因为有高额片酬,好莱坞大片才能吸引世界级明星出演;而世界级明星的一流表演,对好莱坞大片获得巨额票房收入来说是必不可少的。
下列哪项情况如果存在,最能削弱上述断定?( )
A. —
些获得巨额票房收入的好莱坞大片中,有的世界级明星的表演并不出色
B.
有的好莱坞大片给演员的片酬不高,但获得了巨额票房收入
C.
有的好莱坞大片给演员的报酬很高,但票房很不好
D.
有的好莱坞大片票房收人平平,但是不乏世界级明星出演
参考答案:B
· (61). —个排球队里,李雯比陈晓矮,但是比朱诺高;江明比陈晓和朱诺矮;汪苹比江明高,但是比陈晓矮。
如果以上陈述为真,根据下列哪项能够推出张敏比李雯矮?( )
A.
李雯和汪苹一样高
B.
张敏比江明高,但比汪苹矮
C.
张敏比陈晓矮
D.
汪苹比张敏高,但比朱诺矮
参考答案:D
· (62). 新加坡国会10月15日通过个人信息保护法案,禁止向用户发送垃圾信息,为了从源头上规范个人信息被滥用的情况,新法案规定,任何机构在收集私人信息时都必须征得当事人同意,并告知信息用途,但用于研究、医疗新闻用途的信息除外。但新法案仅限制私立机构,公立机构被排除在外,新加坡立法部门声称,这绝对不是给自家人走后门。
以上的声明基于下列假设,除了:( )
A.
新加坡政府部门对收集个人信息有更严格的规定
B.
新加坡政府的公信力在民众中相当髙
C.
政府部门在收集信息时都会征得当事人同意并告知用途
D.
政府部门根本用不着给人群发垃圾短信推销东西
参考答案:B
· (63). 与不参加登山运动的人相比,经常参加登山运动的人一般都更健康,可见,登山运动能锻炼身体,增进身体健康。
下列哪项如果为真,最能对上述论证提出质疑?( )
A.
身体健康状况不好的人有时不能参加登山这样的剧烈运动
B.
参加登山运动的人都是为了锻炼身体,增进健康
C.
长跑、游泳、打球都能锻炼身体,增进健康
D.
张三常年坚持快步慢跑,他的身体非常健康
参考答案:A
七、数学运算。各小题四个选项中只有一个选项最符合题意,请根据题目要求,选出正确答案。
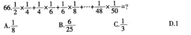
· (64).
( )
A. A
B. B
C. C
D. D
参考答案:B
· (65). 甲数是乙数的2/3,乙数是丙数的3/4,甲、乙、丙的和是216,问甲是多少?( )
A. 37
B. 42
C. 48
D. 53
参考答案:C
· (66). 某地区的邮政编码可用AABCCD表示,已知这六个数字的和是11,A与D的和乘以A等于B,D是最小的自然数。这个邮政编码是多少?( )
A. 334001
B. 326000
C. 226001
D. 236000
参考答案:C
· (67). 甲、乙两个仓库各有粮食若干吨,从甲仓库运出}到乙仓库后,又从乙仓库运出}到甲仓库,这时甲、乙两仓库的粮食储量相等。原来甲仓库的粮食是乙仓库的几分之几?( )
A. 2/3
B. 4/5
C. 1/3
D. 4/9
参考答案:B
· (68). 移栽果苗若干颗,如果小明、小王二人合栽,8小时完成。先由小明栽了3小时后,又由小王栽了1小时,还剩下总棵树的11/16没有栽。已知小明每小时比小王多栽7棵,问共要移栽果苗多少棵?( )
A. 112
B. 115
C. 148
D. 160
参考答案:A
· (69). —只野兔逃出80步后,狼才追它,野兔跑8步的路程,狼只需跑3步;而狼跑出4步的时间,兔子可跑9步。那么狼至少要跑多少步才能追上野兔?( )
A. 162
B. 192
C. 432
D. 512
参考答案:B
· (70). —本《十万个为什么》售出M元,利润是成本的20%,如果把利润提髙到30%,那么售价应提高多少元?( )

A. A
B. B
C. C
D. D
参考答案:C
· (71). 某理发店有两位理发师,同时来了五位顾客,根据他们要求的发型,分别需要花10分钟、12分钟、15分钟、18